电子在光学的应用 光在科技中的应用以及各行各业中的激光和光学应用

小编头像

小编

管理员

发布于:2025年05月04日

90 阅读 · 0 评论

光在科技中的应用以及各行各业中的激光和光学应用

#文章首发挑战赛#

前面介绍了几篇关于光学光电子的文章《光学光电子技术的未来应用与发展》、《光学光电子行业的发展方向》、《关注光学光电子板块》受到一致好评,有读者说太笼统了,再详细点,下面详细地描述光在科技中的应用以及各行各业中的激光和光学应用。

一、光与速度:人类科技的永恒追求

自人类文明诞生以来,我们一直在追求速度。从最早的步行、骑马,到后来的蒸汽机车、汽车、飞机,再到现在的超级计算机、高速互联网,我们一直在努力提高速度,以缩短时间、提高效率。在这个过程中,光成为了我们追求速度的终极目标。

光是世界上速度最快的物质,它的速度是每秒299,792,458米。相比之下,其他物质的速度都显得微不足道。因此,对光的利用成为了人类科技的最终方向。无论是激光、普通光,还是光量子芯片、阿秒激光技术,都是人类在追求光的利用过程中所取得的成果。

未来,光能推进器可能是人类利用光的重要方向之一。这种技术利用光束推动物体前进,具有极高的速度和效率。如果能够实现光能推进器的商业化应用,那么它将成为人类未来交通、物流等领域的重要推动力。

二、光在科技中的应用

1、光量子芯片与光路集成:领航未来科技的新篇章

随着科技的发展,我们已经进入了一个新的信息时代,这个时代的主角就是光量子芯片和光路集成。它们代表了信息技术的前沿,也是我们追求速度的一个重要方向。

光量子芯片是一种新型的芯片技术,它利用光的量子特性进行信息处理,可以实现超高的计算速度和处理能力。而光路集成则是将大量的光学元件集成在一个小小的芯片上,实现光路的微型化和高效化。这种技术的应用范围非常广泛,可以用于高性能计算、人工智能、量子通信等多个领域。

光量子芯片和光路集成技术的发展离不开激光和光学元器件的支持。这些元器件是构建光路和制造芯片的关键,它们的性能和质量直接影响到整个系统的性能。因此,随着光量子芯片和光路集成技术的发展,对激光和光学元器件的需求也在不断增加。

2、医疗行业的变革:激光与光学技术的广泛应用

医疗行业是一个关乎人类健康和生命的重要行业,也是激光和光学技术应用的重要领域之一。随着医疗技术的不断发展,激光和光学技术在医疗领域的应用也越来越广泛。

在医疗领域,激光技术被广泛应用于手术、治疗、诊断等方面。例如,激光手术可以实现微创、无痛的治疗,提高手术效果和患者的生存率;激光治疗则可以通过对生物组织进行照射,实现杀菌、止痛等作用。同时,光学成像技术也被广泛应用于医疗领域,如光学显微镜、内窥镜等设备都是医生们常用的诊断工具。

3、人工智能、机器人与自动驾驶

人工智能、机器人和自动驾驶是未来科技领域的重要发展方向。在这些领域中,光学光电子行业的产品和技术有着广泛的应用前景。例如,在人工智能领域,光模块和光存储是算力和存储的重要支撑;在机器人领域,眼睛系统是机器人识别万事万物的关键;在自动驾驶领域,激光雷达是实现精确测距和导航的重要工具。未来,随着这些领域的不断发展,光学光电子行业将迎来更多的发展机遇。

4、无人自动化工厂与激光技术:工业4.0的核心

无人自动化工厂是未来制造业的重要发展方向。在无人自动化工厂中,激光加工、激光检测等技术发挥着重要作用。通过高精度、高效率的激光加工和检测技术,可以实现生产过程的自动化和智能化。同时,工业机器人眼睛系统也是实现无人自动化工厂的关键技术之一。通过精确的定位和识别技术,工业机器人可以自主完成各种生产任务。

5、实验仪器与检测仪器中的激光和光学元器件

实验仪器和检测仪器是科学研究和工业生产中的重要工具。其中,激光和光学元器件是实验仪器和检测仪器中的关键组成部分。它们在光谱分析、测量、传感等领域发挥着重要作用。随着科学研究和工业生产的不断发展,对实验仪器和检测仪器的需求也将不断增加。因此,对激光和光学元器件的需求也将不断增长。

6、环保与可持续发展:激光与光学技术的绿色之路

环保与可持续发展是当前社会关注的焦点问题之一,也是激光和光学技术应用的重要领域之一。在环保领域,激光和光学技术被广泛应用于环境监测、污染治理等方面。例如,激光雷达可以用于大气污染物的监测和测量,为环境保护提供准确的数据;光学成像技术则可以用于水质的监测和分析,确保水源的安全和卫生。同时,激光技术也可以用于太阳能发电、风力发电等新能源的开发和利用上,推动社会的可持续发展。

各行各业中的激光和光学应用

工业制造:在工业制造领域,激光切割、焊接、打标等技术得到了广泛应用。它们能够快速、准确地完成各种加工任务,提高生产效率和产品质量。同时,光学检测技术也被广泛应用于产品质量检测和过程控制中。医疗行业:在医疗领域,激光和光学技术被广泛应用于诊断和治疗。例如,激光治疗仪可以利用激光能量对病变组织进行照射治疗;光学显微镜则可以利用光学成像原理对细胞组织进行观察和分析。这些技术的应用提高了医疗效率和诊断准确率,为患者的健康保驾护航。科学研究:在科学研究中,激光和光学技术是必不可少的工具之一。例如,光谱仪可以利用激光激发物质产生光谱信息,从而研究物质的性质和结构;多普勒激光雷达则可以利用激光测量物体的速度和距离等信息,为气象、地球观测等领域提供准确的数据;阿秒脉冲激光则可以用于研究物质在极短时间内的行为和性质变化,揭示微观世界的奥秘。军事领域:在军事领域,激光武器、激光制导、激光侦察等技术得到了广泛应用。激光武器可以利用高能激光束对目标进行打击,具有速度快、精度高、威力大等优点;激光制导则可以利用激光对导弹进行精确制导,提高导弹的命中率;激光侦察则可以利用激光对目标进行远距离探测和识别,为军事行动提供准确的信息。文化艺术领域:在文化艺术领域,激光和光学技术也得到了广泛应用。例如,激光投影技术可以将图像投射到各种表面上,实现大屏幕显示;激光雕刻技术则可以利用激光对物体进行雕刻和切割,制作出各种精美的艺术品;光学成像技术则可以用于摄影和摄像,创造出更加真实、生动的影像作品。环保领域:在环保领域,激光和光学技术也发挥着重要作用。例如,激光雷达可以用于大气污染物的监测和测量,为环境保护提供准确的数据;光学成像技术则可以用于水质的监测和分析,确保水源的安全和卫生。

光在科技中的应用非常广泛,涉及到各个领域。随着科技的不断进步和创新,光的应用将会更加广泛和深入,为人类的生产和生活带来更多的便利和福祉。

三、未来光科技的发展与挑战

1、光能推进器的探索:尽管目前光能推进器还只是科幻作品中的设想,但随着人类对光速追求的深入,这一设想有可能在未来成为现实。光能推进器如果真的能被发明,那么它不仅可以解决人类的能源问题,更能极大地提高人类的交通速度,推动人类文明进入一个新的阶段。然而,要实现光能推进器,还需要在材料科学、物理学、工程学等多个领域取得突破性的进展,这是一个长期且极具挑战性的目标。

2、人工智能与光技术的融合:随着人工智能的快速发展,如何将人工智能与光技术更好地融合,以提高光技术的智能化程度,是科技界面临的一个重要课题。例如,通过人工智能算法优化光的传输路径,提高光的利用效率;或者利用人工智能对光信号进行处理和分析,提高光通信的速度和稳定性。但与此同时,如何保证人工智能在处理光信号时的安全性和隐私性,也是一个亟待解决的问题。

3. 元宇宙的光学需求:随着元宇宙的兴起,对光学技术的需求也在不断增加。例如,为了实现元宇宙中的虚拟现实和增强现实功能,需要开发出具有高清晰度、高帧率和大视角的光学显示技术。然而,目前的光学技术还无法满足元宇宙的所有需求,因此需要在光学设计、材料科学和制造技术等方面取得突破。

4. 无人自动化工厂中的光技术应用:在无人自动化工厂中,光技术有着广泛的应用前景。例如,利用激光进行高精度的加工和检测,利用光学传感器进行实时的环境监控和设备状态检测等。然而,如何在复杂的工厂环境中保证光技术的稳定性和可靠性,是一个需要解决的问题。此外,如何降低光技术的使用成本,使其更具经济性,也是推动光技术在无人自动化工厂中广泛应用的关键。

5. 光科技与医疗健康的结合:光科技在医疗健康领域也有着广阔的应用前景。例如,利用光技术进行无创的疾病诊断和治疗,利用光遗传学技术研究生物的神经和行为等。然而,如何在保证安全性的前提下提高光技术在医疗健康领域的应用效果,是一个需要持续研究和探索的问题。

6. 环保与可持续发展的考虑:随着人类对光速追求的深入,对光资源的需求也在不断增加。如何在满足科技需求的同时保护环境实现可持续发展也是一个需要关注的问题。例如研究和开发环保型的光源和材料提高光的利用效率减少光的污染等。

总的来说随着科技的不断进步人类对光速的追求也将永无止境。在这个过程中无论是光能推进器人工智能与光技术的融合还是元宇宙、无人自动化工厂以及医疗健康领域的应用都为光科技的发展提供了广阔的空间和无限的机遇。但同时我们也应该意识到这些目标的实现并不是一蹴而就的需要我们在科技研发、环境保护和可持续发展等多个方面付出持续的努力。

四、未来光科技发展的策略与建议

增强基础研究:光科技的发展需要强大的基础研究作为支撑。未来,应加大对光科技领域的基础研究投入,包括光学材料、激光技术、光电子器件等,推动关键技术的突破和创新。推动产学研合作:光科技的应用涉及到多个领域,如工业、医疗、通信等。应推动产学研合作,促进不同领域之间的交流与合作,加快技术转化和应用推广。加强人才培养:光科技的发展需要具备专业知识和技能的人才。应加强人才培养,建立完善的人才培养体系,培养更多的光科技专业人才,为光科技的发展提供人才保障。鼓励创新创业:创新创业是推动光科技发展的重要途径。应鼓励创新创业,为光科技领域的创业公司提供政策支持和资金扶持,促进科技创新和产业升级。加强国际合作:光科技的发展需要全球范围内的合作和交流。应加强国际合作,积极参与国际光科技领域的合作研究和标准制定,推动全球光科技的发展和应用。关注可持续发展:在推动光科技发展的同时,应关注可持续发展,注重环境保护和资源利用,避免对环境造成负面影响,实现经济、社会和环境的协调发展。

五、在光学光电子板块,有几个细分领域的龙头企业值得关注。

在光学元件领域,舜宇光学科技是全球最大的手机镜头生产商之一,其手机镜头出货量位居全球前列。大立科技则是国内红外热像仪行业的龙头企业,其产品广泛应用于军事、电力、消防等领域。在光通信领域,中际旭创是全球领先的高速光通信模块生产商,其产品广泛应用于云计算、数据中心等领域。新易盛也是国内领先的光通信器件生产商之一,其产品涵盖了光纤光缆、光器件、光系统等。在激光领域,大族激光是国内激光设备行业的龙头企业,其产品涵盖了激光打标、激光切割、激光焊接等多个领域。华工科技也是国内激光设备行业的重要企业之一,其产品广泛应用于机械、电子、冶金等领域。光学仪器制造领域:福晶科技(002222)是全球领先的光学仪器制造商,主要产品包括激光器、光学元件、激光雷达等。

这些企业在各自细分领域内拥有深厚的技术积累和广泛的应用场景,是光学光电子板块中的领军企业。

一文带你了解光学

物理学家麦克斯韦预言光是电磁波,这在光学历史上是一次革命,从此宇宙中最神秘的光被统治在麦克斯韦方程组之下。

1.电磁波

电磁波:由相同且互相垂直的电场与磁场在空间中衍生发射的震荡粒子波,是以波动的形式传播的电磁场,具有波粒二象性。电磁波是由同相振荡且互相垂直的电场与磁场在空间中以波的形式移动,其传播方向垂直于电场与磁场构成的平面。电磁波在真空中速率固定,速度为光速。

电磁波伴随的电场方向,磁场方向,传播方向三者互相垂直,因此电磁波是横波。当其能阶跃迁过辐射临界点,便以光的形式向外辐射,此阶段波体为光子,太阳光是电磁波的一种可见的辐射形态,电磁波不依靠介质传播,在真空中的传播速度等同于光速。电磁辐射由低频率到高频率,主要分为:无线电波、微波、红外线、可见光、紫外线、X射线和伽马射线。人眼可接收到的电磁波,称为可见光(波长380~780nm)。电磁辐射量与温度有关,通常高于绝对零度的物质或粒子都有电磁辐射,温度越高辐射量越大,但大多不能被肉眼观察到。

频率是电磁波的重要特性。按照频率的顺序把这些电磁波排列起来,就是电磁波谱。如果把每个波段的频率由低至高依次排列的话,它们是无线电波、微波、红外线、可见光、紫外线、X射线及γ射线。

2.频率

频率(frequency):单位时间完成振动的次数,是描述振动物体往复运动频繁程度的量,常用符号f或v表示。每个物体都有由它本身性质决定的与振幅无关的频率,叫做固有频率。它们的特征参量是波长λ、频率f和光子能量E。三者的关系是f=c/λ,E=hf=hc/λ和E=1.24/λ,式中,E和λ的单位分别是eV(电子伏)和μm,h为普朗克常数(6.6260755X10J·S);c为光速,其真空中的近似值等于3X10m/s,在工程实践中,根据不同的需要和习惯,采用不同的频谱参量计量单位。

3.光子能量

光子能量( photon energy):光子即光量子(light quantum),传递电磁相互作用的规范粒子,记为γ。其静止质量为零,不带电荷,其能量为普朗克常量和电磁辐射频率的乘积,即E=hv,在真空中以光速c运行,单位为焦(J)·秒(s)。

4.光的干涉

光的干涉(Interference of light):物理学中,干涉(interference)是两列或两列以上的波在空间中重叠时发生叠加从而形成新的波形的现象。两列波在同一介质中传播发生重叠时,重叠范围内介质质点同时受到两个波的作用。若波的振幅不大,此时重叠范围内介质质点的振动位移等于各别波动所造成位移的矢量和,这称为波的叠加原理。若两波的波峰(或波谷)同时抵达同一地点,称两波在该点同相,干涉波会产生最大的振幅,称为相长干涉;若两波之一的波峰与另一波的波谷同时抵达同一地点,称两波在该点反相,干涉波会产生最小的振幅,称为相消干涉。  

5.什么条件下会发生光的干涉光的干涉条件?

准确的说,应该是两列相干光可以发生干涉,任何一个光束都不可能是绝对的单色光,也可说绝对不可能只有单一频率。所以,任何一个光源只要满足时间相干性,都可以发生干涉,比如一束光的波长是600nm-601nm,另外一束光是600.5nm-601.5nm,他们的频率成分当中(频率就是光速除以波长)有相同的部分,如果满足时间相干性,也就是相干频率大于他们直接的频率差就可以干涉!另外就是满足空间相干性,任何一个光源,可以是光源上不同两个地方发出的光线,只要这两个发光的部分的长度小于空间相干长度,就也可以发生干涉!关于相位差恒定,也是不必要条件,只要大致稳定就行,举例说明:比如,双缝干涉,当屏幕不动的时候,光程差是恒定的,也可以说是相位差是恒定的,当光屏向后或者向前移动的时候,相位差肯定会变,条纹间距也会变,变宽或者变窄,但是干涉图样始终存在,说明相位差变化了,只能使得干涉图样发生波动,但是不稳定的相位差一样可以发生干涉!震动方向一致也是非必要条件,只要震动方向不垂直,两个互成角度的震动,可以向力的分解那样,把震动分为一致方向和垂直方向,一致方向的分量依然可以和另外一个震动发生干涉,只不过干涉图样的明暗对比度会下降,而只要当完全垂直的时候,对比度才下降为零,才可以认为是不干涉。

综上所述:频率相同,位相差恒定,振动方向一致的相干光源是发生“稳定”干涉的条件,而非发生干涉的条件。

6.非偏振光

“非偏振”光的光子取向随机。来自光源的一个单光子的电场被定向在给定的方向上,下一个光子的电场将被定向在不同的方向。通常,光子全部以不同方向的电场发射。最常见的非偏振光源是太阳光。然而,电场的取向在反射,折射以及散射时会改变。到达观察者的间接太阳光具有优选的电场取向,这通常被称为“部分偏振”光。它用来表示具有未明确定义的优选取向的电场。

7.偏振光

偏振光( polarized light ):振动方向对于传播方向的不对称性叫做偏振,它是横波区别于其他纵波的一个最明显的标志,只有横波才有偏振现象。光波是电磁波,因此,光波的传播方向就是电磁波的传播方向。光波中的电振动矢量E和磁振动矢量H都与传播速度v垂直,因此光波是横波,它具有偏振性。 具有偏振性的光则称为偏振光。偏振光是指光矢量的振动方向不变,或具有某种规则地变化的光波。按照其性质,偏振光又可分为平面偏振光(线偏振光)、圆偏振光和椭圆偏振光、部分偏振光几种。

完全偏振光可分为

(a)线偏振光指光矢量端点的轨迹为直线,即光矢量只沿着一个确定的方向振动,其大小随相位变化、方向不变,称为线偏振光。

(b)椭圆偏振光指光矢量端点的轨迹为一椭圆,即光矢量不断旋转,其大小、方向随时间有规律的变化。

(c)圆偏振光指光矢量端点的轨迹为一圆,即光矢量不断旋转,其大小不变,但方向随时间有规律地变化。

8.部分偏振光

在垂直于光传播方向的平面上,含有各种振动方向的光矢量,但光振动在某一方向更显著,不难看出,部分偏振光是自然光和完全偏振光的叠加。

单个光子的电场方向沿着单一平面。如前面所述,当电场对齐时,在相同方向传播的多个电场叠加可能导致干扰。然而,正交电场一起传播没有干扰。叠加后的电场在通过静止观测器时的形状被称为极化。

9.线偏振光

在图中,我们表示了沿相同路径传播的,具有相同频率和相同幅度的两个光束的电场强度(为了清晰起见,对它们进行了偏移)。一个在垂直方向上偏振,一个在水平方向上偏振。当沿着传播方向观察时,电场将沿着一条线出现,所以每个单独的波可以看做是线性偏振的。在这种情况下,需要特别注意的是,垂直波的最大值,最小值以及零点与水平波的最大值,最小值以及零点一致,即波是同相的。因为两个波是正交的,所以它们不会干扰。两个波的分量的矢量和叠加在空间中的每个点处,这导致线性波在垂直方向上偏振45°,如图2.8所示。如果两个波保持同相,但振幅不相等,则结果将是不同于45°的线性偏振波。确切地说,当具有相同频率的两个线性偏振波同相合并时,所得到的波是线偏振的。

相同频率的两个正交光波在相同的方向传播(为了清晰起见,偏移示出)。

由于两个波幅度相等,相位相同,因此所得电场为在x-和y-的45°方向的线性偏振。

10.圆偏振光

续上,将频率相同,相位为四分之一波长,振幅相等的两条线偏振光速组合在一起,产生圆偏振光。我们再次表示了沿相同路径传播的相同频率和幅度的两个光束。同样,一个是垂直偏振,一个是水平偏振。在这种情况下,水平波的电场强度的最大值,零点以及最小值已经与垂直波发生偏离:两个波相差四分之一或者90°。当两个波组合时,合成波的箭头的末端不像前面的图示那样在平面上来回移动。相反,合成波的箭头末端看,电场以一个圆的方式移动,这称为圆偏振光,并且仅当具有相同频率的两个线性偏振波具有相同的幅度和90°的相位差时才会发生。

11.椭圆偏振光

续上,如果相移不是90°,或者幅度不相等,那么看到的电场就是在椭圆上移动,这称为椭圆偏振光。具体地说,当具有相同频率的两个线偏振波相位不同时,所得到的波为椭圆偏振。

椭偏仪使用椭圆偏振光,这也是椭偏仪名称由来的原因。当线性偏振光在一定条件下从表面反射时产生椭圆偏振光。偏振的变化取决于表面(光学常数,膜的存在等),椭偏仪通过测量这种偏振变化来确定被测样品的特性。

12.菲涅耳公式

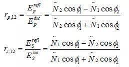
边界条件描述了通过界面反射和透射的电磁波。这些条件由麦克斯韦方程组推导得到,认为切向电场和法向电场在界面上是连续的。对于这些条件的解释得出了光在通过分界面时振幅和相位的变化。反射或透射发生在同一界面上,反射光以及透射光的电场分量与入射光的电场分量的比值称为“菲涅耳系数”。边界条件导致了s波和p波的不同方程,因为它们的场分量是沿着不同的平面方向。

在第一介质和第二介质之间存在一个单独的界面,其中每种介质分别由各自的复折射率来表述。当光束从第一介质进入第二介质时,p波和s波的菲涅尔反射系数由下列公式得到,

设入射角和折射角 (与斯涅尔定律相关)。相应的菲涅尔透射系数为,

由于光强与电场强度的平方有关,因此可以确定反射光以及透射光的光强与入射光光强的比值为:

以上称为偏振反射率和偏振折射率。

13.布鲁斯特角

自然光在电介质界面上反射和折射时,一般情况下反射光和折射光都是部分偏振光,只有当入射角为某特定角时反射光才是线偏振光,其振动方向与入射面垂直,此特定角称为布鲁斯特角或起偏角。

布儒斯特角是折射率的函数,如上文所述,折射率是波长的函数。因此,布儒斯特角是波长的函数。“布儒斯特波长”这个术语有时也被用于单个入射角度。这仅仅意味着折射率与布儒斯特条件相匹配时入射光的波长。

“布儒斯特角”或“偏振角”的概念经常被摄影师用来拍摄水下的物体。来自水下物体的光(例如:鱼或短吻鳄)通常比水面上反射的光少得多,并且反射光会使水下的物体变得模糊不清。如果反射光的入射角与布儒斯特角大致相等,就可以根据正确的方位角调整偏振器,去除纯s偏振的表面反射光,使摄像机能够捕捉水下物体所发出的光。

当反射面不透明时,意味着k不为零,情况会变得更加复杂。菲涅耳反射系数此时为复数,“大于零”和“小于零”的概念并无意义。通常,复数的实部和虚部不会都为零;

14.复折射率

当光与不同的材料相互作用时,会发生几种现象。每种都可以通过考虑材料的光学性质来描述。首先,波可以改变方向。图2.6表示的是到达空气和另一种材料之间界面的平面波光束。一些光被反射回到第一介质(空气)中,并且不进入第二介质。进入第二介质的光沿新的方向传播,这部分的光称为折射光。

第二,光波可以改变相速度。如图2.6中的三个平行线表示相应的波长。第一个介质中的相速度比第二个更快(因此波长更长)。第三,光波可以改变振幅。通过光波的分割(一部分反射,剩余部分透射)或者通过穿过吸波材料时的能量损失可以改变振幅。利用材料的复合折射率可以描述这些现象。

 光速与空气、复合折射率为Ñ2.的材料的界面之间的相互作用

复合折射率Ñ由实部和虚部组成

式中,n是“折射率”或简称“指数”,k是“消光系数”,i是虚数。使用加号还是减号取决于其数学表达方式。

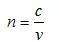
15.折射率

光从一种介质斜射入另一种介质时,传播方向发生改变而使线在不同的交界处偏折的现象即光的折射。折射率指光在真空中的传播速度与光在该介质中的传播速度之比。材料的折射率越高,使入射光发生折射的能力越强。 折射率与介质的电磁性质密切相关。根据经典电磁理论,εr和μr分别为介质的相对电容率和相对磁导率。折射率还与频率有关,称色散现象。

诸如玻璃之类的介电材料的折射率是光在材料中的相速度和在真空中的光速(c)之比的倒数,即

在氮化硅中,n≈2,光的相速度是光在真空中的一半。

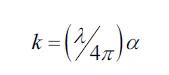
16.消光系数

消光系数k 描述介质对光的吸收特性,表示当光通过材料时强度降低的程度。为了方便理解消光系数,可以先参照吸收系数定义。

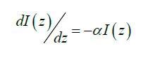
17.吸收系数

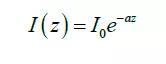
光在介质中传播时,光的强度随传播距离(穿透深度)而衰减的现象称为光的吸收,光的吸收遵循吸收定律(比尔-朗伯定律)。吸收系数是比尔-朗伯定律(Beer–Lambert law)中的一个常数,符号位α,被称为介质对该单色光的吸收系数。光束沿着Z轴方向入射到吸波材料,在空气与材料的界面反射时会产生一些强度损失。我们用I0表示在材料内部时的强度,在吸波材料中强度的降低由下式给出:

方程的解为:

z=0处进入吸波材料。不考虑由于每个界面处的反射造成的损失,强度随距离材料距离的增大而呈指数形式减少。可得到消光系数的定义式:

虽然折射率n和消光系数k通常被称为材料的“光学常数”,但是它们都不是恒定的。它们是光波频率的函数(即它们依赖于波长)。

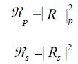
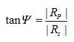
18.反射率

反射率指的是输出光与输入光的强度之比。全反射系数 Rp 和 Rs 指的是输出光与输入光的振幅之比。因此,反射率是全反射系数的大小的平方,即

19.透射率

透射是入射光经过折射穿过物体后的出射现象。被透射的物体为透明体或半透明体,如玻璃,滤色片等。若透明体是无色的,除少数光被反射外,大多数光均透过物体。为了表示透明体透过光的程度,通常用透过后的光通量与入射光通量 之比τ来表征物体的透光性质。

τ称为光透射率对于透射强度(透射率)可以运用类似的公式。反射率和透射率是可由分光计等装置测得的很常见的测量量。测量通常处于正入射(0°),因此不需要考虑偏振态。即使以斜角入射进行测量,也通常使用非偏振光,因为这简化了所需的仪器。非偏振反射率或透射率的测量值将等于 p 和 s 偏振光的平均值。

20.复介电常数

材料的光学性质也可以通过复介电函数来描述。n和k描述的是光波如何受到材料的影响,复介电函数描述的是材料如何受到光波的影响。四个称为“本构”或“材料”的方程描述的是材料对电磁辐射的影响。对于非导电、非磁性材料,电位移D与电场E有如下关系:

式中,ε0是真空中的介电常数,e是材料的介电常数。介电常数随光波频率或波长变化而变化,所以通常被称为介电函数,其可能很复杂。实部ε1表示电极化率,描述的是电场如何使材料内的电荷分布发生变形;虚部ε2描述的是材料的吸收特性。复介电函数为

复介电函数与复折射率之间的关系为

21.Δ和Ψ

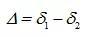
图中表示了从表面反射的p波和s波。在每一次的反射中,p波和s波都存在一定的相移,并且二者的相移不一定相同。将反射前的p波和s波之间的相位差表示为,反射后的相位差表示。在这里定义一个参数Δ,读作“delta”,

Δ是由反射引起的相移,该值可以在-180°到+ 180°之间(或者0°至360°之间)。

除了相移,反射也会引起p波和s波振幅的减小,并且对于二者也不一定是相同的。前文中将p波(Rp)和s波(Rs)的全反射系数定义为输出光波与输入光波的振幅之比,一般来说,这是一个复数。在这里定义参数Ψ,称为“psi”,使得

Ψ是其正切值为全反射系数大小的比值的角度,其值可以在0°至90°的范围内。Ψ和Δ的影响使得线性偏振光在从样品表面反射后变为椭圆偏振光,如图2.16所示。

22.椭偏基本公式

椭偏测量采用由p、s分量定向的线性偏振光作为入射光。与样品的相互作用导致反射光中p光和s光有不同的振幅和相位,产生椭圆偏振光。

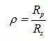
如上所述,定义为全反射系数大小的比值,因此为实数。在这里将复数ρ(rho)定义为全反射系数的复数比,如下所示,

椭偏测量的基础公式为:

那么tanΨ是ρ的模,指数函数是ρ的相位。参数Ψ和Δ(有时只有cosΔ)可由椭偏仪测得。这些参数表示的是探测光束的性质。关于样本的信息包含在全反射系数中,即在ρ中。应当注意的是,只要仪器正常工作,那么测量值Δ和Ψ总是正确的。通过回归分析可以推导出,例如厚度以及光学常数等参量。这些参量的值是否正确取决于我们的假设模型。例如,如果我们假设材料是一层基质,实际上是某种材料的薄膜覆盖在另一种材料的基质上,就会推导出不正确的n和k。这说明椭偏仪测量出的量是Δ和Ψ。例如厚度和光学常数之类的参量是建立在假设模型的基础上进行计算得到的。

23.N/C/S

有许多方法可以用来表示由椭偏仪测量出的偏振态的变化。Ψ和Δ由于在消光椭偏仪中的早期应用而变得十分普遍。在这些早期的单波长仪器中,光学元件的应用有所限制,除非可检测光消失(为零)。在1990年之前,Ψ和Δ的值与主要使用的这些早期器件的光学读数直接相关。在第3章中,我们将讨论现代椭偏仪的操作,并不直接测量Ψ和Δ。而是收集可能与偏振态的变化相关的调制强度。与仪器测量的强度最直接相关的实际值称为N,C和S,其与Ψ和Δ的关系如下:

根据它们的性质,这三个参数都在-1和+1之间。对这三个参数的测定等价于测量Ψ和Δ值。在下一章中将会提到,早期的旋转分析式椭偏仪的配置仅限于测量N和C,并且将Δ的范围减小到180°,而不是完全的360°。

24.琼斯矩阵

椭偏测量可通过一组线性方程来表示,用以描述p波和s波与样本之间的相互作用。琼斯矢量标记法将偏振光视为两个描述p和s电场的复数(幅度和相位)。2×2的琼斯矩阵可用来表示样本或可能改变偏振态的任何光学元件。对于各向同性样品,p波和s波之间不存在交叉极化。换句话说,p偏振光将保持p偏振,并且s偏振光将保持s偏振。然而,它们将会经历各自的振幅减小和相位变化。这由样品的Jones矩阵(不同形式)表示,如:

25.穆勒矩阵

琼斯矢量仅限于表示偏振光,不能表示部分偏振光或非偏振光。对于这些重要的情况,样品(或光学元件)可以使用斯托克斯–穆勒矩阵来表示。这种情况中,每个光束由构成斯托克斯矢量的四个实际强度描述,而4×4穆勒矩阵表示光的变换。对于斯托克斯-穆勒矩阵,各向同性样本非对角线2×2块为零(由于p和s波之间不存在交叉极化),如:

 其中N,C和S是前文中讨论的椭偏参数,m11是非偏振光的反射强度。在考虑各向同性样品的穆勒矩阵时要注意N,C和S的重要性。

26.色散方程

列表的主要缺点是它们不提供有用和高效改变光学特性的方法。可以调整每个单独的值,但是这会引入最大数量的“空闲”参数来描述光学特性。该方法被称为“逐点”或“逐波长”拟合。由于相邻波长不相互支持,这是非常低效的。相反,允许每个波长在不了解相邻波长的光学常数的情况下变化。这通常导致嘈杂,产生的结果可能不是唯一的,而且往往是错误的。

更好更有效的方法是使用色散方程。色散是指不同波长的光学常数的变化。因此,色散方程与光学特性的波长依赖关系相关。以这种方式,相邻的波长有助于彼此支持以达到一致的答案来匹配光谱数据曲线。

我们在这里介绍各种色散方程。一些用于透明材料,另一些描述了透明和吸收光学特性。一些是经验性的,纯粹是从光学常数形状的观察而开发的,没有这种潜在形状的物理意义,另一些根植于对材料及其光学性质的物理理解。无论如何,每个都提供了以下好处:(1)显著减少自由参数的数量,(2)保持光滑的连续曲线来描述光学特性与波长的关系,以及(3)允许轻松改变光学特性的某些属性。

在描述一些常见的色散方程之前,我们考虑了透明和吸收材料的基本色散形状,分别被称为正常和异常色散。

相关问答

光学电子 是什么?

光学电子即参与化学反应的价电子。由于光学光谱是由物质原子最外层的电子跃迁产生的,故这种电子在光谱学中称光学电子。光学(optics)是研究光(电磁波)的行为...

光学 电子 主要 应用 ?

主要应用光纤光学。光电技术是应用于未来信息产业的核心技术。光电技术:由光子技术和电子技术相结合的新技术,涉及光显示、光存储、激光等领域,是未来信息产...

【高中阶段 电子 显微镜和 光学 显微镜的适用范围是什么?如哪些...

[最佳回答]电子显微镜:高中实验不会用到.在电子显微镜下可以看到细胞器结构,即亚显微结构.光学显微镜:①观察细胞质和细胞核(甲基绿染DNA,吡罗红染RNA那个)②...

电子 光学 工程是做什么的?

电子与光学工程系是全国唯一一所培养航天测控各层次人才的教研单位,主要培养航天测控和太空态势感知技术领域本科生和研究生,承担航天测控外籍专业技术人员培...

...微镜、 光学电子 显微镜、高倍显微镜在生物中各有啥用?_作业帮

[最佳回答]都是用来观察细胞组织的细微结构.不同之处:普通光学显微镜分辨率低(0.2微米),放大率低(2000),不能分析化学成分.电子显微镜分辨率0.0.2纳米,放大...

现在的 光学在 生物医学方面的最前沿的研究与 应用 有哪些?

物理专业、光学方向的科普作者前来为您解答这个问题。可以说,在生物医学领域光学的应用无处不在。一、显微镜的广泛应用显微镜可以说是应用最广泛的医疗仪器了...

【光子有什么特性和作用?】作业帮

[回答]从波的角度看,光子具有两种可能的偏振态和三个正交的波矢分量,决定了它的波长和传播方向;从粒子的角度看,光子静止质量为零,电荷为零,半衰期无限长...

光学 显微镜和 电子 显微镜下分别能看清的物质_作业帮

[最佳回答]光学显微镜看到的是亚显微结构,电子显微镜下看到的是显微结构.如楼上所说,光学显微镜能看到细胞核,线粒体,叶绿体和大液泡,研究质壁分离实验时还能...

电子 显微镜和 光学 显微镜成像原理的异同?

电子显微镜是以电子束为照明源,通过电子流对样品的透射或反射及电磁透镜的多级放大后在荧光屏上成像的大型仪器。光学显微镜则是利用可见光照明,将微小物体形...

物理光学和 应用光学 有什么区别?

物理光学是从光的波动性出发来研究光在传播过程中所发生的现象的学科,所以也称为波动光学。它可以比较方便的研究光的干涉、光的衍射、光的偏振,以及光在各向...

标签:

相关阅读