设备结构设计及应用电子书 电子产品的结构设计

小编头像

小编

管理员

发布于:2025年05月02日

105 阅读 · 0 评论

电子产品的结构设计

目录

1 电子产品结构设计基础知识

2 电子产品的电气连接方式

3 抗振设计

4 整机绝缘材料和布线

5 三防设计

6 防水设计

7、环保设计

8、设计实例

1 电子产品结构设计基础知识

普通电子产品的结构设计,是相对比较简单的一种机械设计,主要任务是为电路提供一个保护外壳或安装支撑平台,一般没有运动机构部分,不必考虑磨损和应力,材料的选择和工艺处理也比较简单。但电子产品有自身的特殊要求:电磁屏蔽、便于操作、容易安装与拆卸、使外形具有商品的时代感等。此外,对于不同的应用环境,还有不同的要求:抗振动、冲击,热设计,防水设计,防爆设计,防腐蚀设计,低气压。

在电子产品中,安装了电子元器件及机械零部件,使产品成为一个整体,称之为电子产品的结构系统。这种结构系统包括:机箱、机架、机柜结构。电子产品的整机在结构上通常由组装好的印制电路板、接插件、底板和机箱外壳等构成。

电子产品的结构设计,是把构成产品的各个部分有机的结合起来的过程,是实现电路功能指标、完成工作原理、组成完整电子装置的过程。整个过程包括元材料的选用、模块及印制电路板的尺寸设计、模块间连接安装、产品的外形设计、抗干扰措施及可维修等等方面。

1)结构设计的要求

①保证产品技术指标的实现(工作可靠、性能稳定)

②良好的结构工艺性(适合批量生产或自动化生产)

③贯彻执行标准化(零件、部件、模块、插箱、机柜等)

④体积小、重量轻、造型美观大方

⑤便于设备的操纵、安装与维修

2)电子产品结构工艺要求

①结构装配工艺应具有相对的独立性。(模块化) ②机械结构装配应有可调节环节,以保证装配精度。(可装配性)

③机械结构装配中所采用的连接结构,应保证安装方便和连接可靠。(结构牢固性)

④机械结构装配应便于产品的调整与维修。(维修可到达)

⑤线束的固定和安装要有利于组织生产,并使整机装配整齐美观。(生产便利)

⑥要合理使用紧固零件。

⑦提高产品耐冲击,振动的措施。

⑧应保证线路连接的可靠性。

⑨操用调谐机构应能精确、灵活和匀滑地工作,人工操作手感要好。

3)结构设计流程

①总体规划(如:外形、材料、工艺)、确定方案(多种方案比较)

②理论计算(散热、重量、重心、尺寸等)

③模拟与试验 (需要的话)

④二维与三维 CAD (用三维可实现装配的模拟)

⑤注意优化、可靠性、性价比,尽量采用标准化、通用化零部件

4)结构设计的一般方法

①熟悉设备的技术指标和使用条件

②确定结构方案

③确定机壳的尺寸和所用的材料

④进行总体布局以机箱设计为例,下图是机箱设计的过程和方法。

随着电子产品范围的不断扩大,其功能日趋复杂,结果是产品的元器件数目、体积、重量、耗电量和成本增加了,而可靠性却在下降。解决这个问题的主要方法就是在产品中大量采用集成电路,采用集成度更高的芯片和模组,这就导致电子设备结构的变革,使产品电路板的结构微型化,产品结构向模块化和归一化方向发展。最典型的代表就是电脑和手机,功能越来越强大、体积越做越小,模块化设计的功能组件越来越多。不同手机厂家的屏幕、电池和摄像头等组件,都采用相同的模组。这样设计一方面可以降低整机设计的难度,另外一方面可以降低制造成本。

2 电子产品的电气连接方式

电子产品组装部件间的电气连接,主要采用印制导线连接、导线、电缆以及其它电导体等方式进行连接。

1)导线

导线是能够导电的金属线,是电能和电磁信号的传输载体。可分成裸线、电磁线、绝缘电线电缆和射频电缆四类 。裸线是指没有绝缘层的单股或多股导线,大部分作为电线电缆的线芯,少部分直接用在电子产品中连接电路。

电磁线是指有绝缘层的导线,绝缘方式有表面涂漆或外缠纱、丝、薄膜等,一般用来绕制电感类产品的绕组,所以也叫做绕组线、漆包线。

绝缘电线电缆是指包括固定敷设电线、绝缘软电线和屏蔽线,用作电子产品的电气连接。

射频电缆是指包括用在电信系统中的电信电缆和高频电缆。有软性、半钢性、钢性。

导线一般由导体芯线和绝缘体外皮组成。导体芯线一般采用导电性能较好的铜线和铝线。纯铜线的表面很容易氧化,一般导线是在铜线表面镀耐氧化金属,比如:普通导线镀锡能提高可焊性;镀银能提高电性能,可以用作高频导线;镀镍能提高耐热性能,可以用作耐热导线。

描述导线线芯粗细有线号和线径两种方式,线号制是按导线的粗细排列成一定号码 ,线号越大,其线径越小,英、美等国家采用线号制。线径制是用导线直径的毫米(mm)数表示线规,中国采用线径制。

绝缘外皮除了电气绝缘外,还有增强导线机械强度、保护导线不受外界环境腐蚀的作用。导线绝缘外皮的材料主要有:塑料类(聚氯乙烯、聚四氟乙烯等)、橡胶类、纤维类(棉、化纤等)、涂料类(聚脂、聚乙烯漆)。常见的塑料导线、橡皮导线、纱包线、漆包线等。不同种类的导线如下图所示。

2)电磁线

具有绝缘层的导电金属线,用来绕制电工电子产品的线圈或绕组,作用是实现电能和磁能转换。

3)带状线(排线)

导线根数有 8、12、16、20、24、28、32、37、40 线等规格,如下图所示。

4)电源软导线

电源软导线选型时有以下三个注意事项:

①选择电源线的载流量,要比机壳内导线的安全系数大。

②要考虑气候的变化,应该能经受弯曲和移动。

③要有足够的机械强度。

RVB、RVS 适合用作电源软导线。

RVB 全称两芯平型铜芯聚乙烯绝缘软电线,没有护套结构扁形软线,俗称红黑(平行) 线。常用作内部安装用线,比如家用电器、小型电动工具、仪器、仪表及动力照明连接用电等。

RVS 全称铜芯聚氯乙烯绝缘绞型连接用软电线、对绞多股软线,简称双绞线,俗称“花线”,现阶段此种线材多用于消防系统,也叫“消防线”。字母 S 代表双绞线,字母 R 代表软线, 字母 V 代表聚氯乙烯(绝缘体)。

RVS 双绞线的用途:

①多用于消防火灾自动报警系统的探测器线路

②适用于家用电器、小型电动工具、仪器仪表及动力照明用线。双白芯用于直接接灯头线:红蓝芯用于消防、报警等;红白芯用于广播、电话线;红黑芯用于广播线。

③用于连接功放与音响设备、广播系统传输经功放机放大处理的音频信号。

RVS 与 RVB 的区别:RVB 为平行软线,RVS 为双绞软线。

5)同轴电缆与高频馈线

阻抗与频率无关、具有一定特性阻抗的导线。但要注意频率衰减和通过功率。

6)高压电缆

高压电缆一般采用绝缘耐压性能好的聚乙烯或阻燃性聚乙烯作为绝缘层,而且耐压越高,绝缘层要求就越厚。

7)网络连接线——双绞线

计算机网络通讯中,由于工作频率较高,信号电平较低,通常采用抗电磁干扰能力较强的双绞线作为各种设备之间的连接馈线。

双绞线有 EIA/TIA 568B 标准和 EIA/TIA 568A 标准两种接法,如下图所示。

8)FFC 扁平排线

FFC 扁平排线如下图所示

FFC的主要特点是:

①制造微型化、小巧、高密集成;

②节省空间;

③简化配线程序,连线简单;

④节省人力成本;

⑤柔性优良、应用灵活、可折叠。

FFC 主要用于打印机、扫描仪、音响、MP3、影碟机、数码相机、摄影机、传真机、

复印机、LCD-TV、移动电话、写真机等领域的信号传输及内部配线。

3 抗振设计

为什么要做抗振设计

一旦产品过了质保期,基本就进入了“偶然失效期”,这个阶段产品发生故障的概率进入比较低的阶段。那么这个阶段,产品一般在稳定使用,也不会出现搬运,高低温(室内设备)的考验。通过下图,可以看出,电子设备的故障由于环境应力的因素比重。

随机振动,我们可以看到其在失效原因中排在非常靠前的位置。

电子设备在运输使用过程中,会受到各种机械力的干扰,有周期性的振动,也有非周期性干扰,还有做非直线运动时受到的加速度和无规则运动对设备产生的随机振动干扰。这些恶劣的机械环境都可能造成伤害,其中最大的伤害就是振动和冲击。

由于电子设备内部电子元器件的种类和数量都比较多,许多元器件承受的机械环境的能力都较弱,因此机械作用力而引起设备损坏和故障率也很高。故在进行电子设备的结构设计时,因根据使用场合,了解环境条件对设备的影响。采用针对性的措施,以低成本的方式解决伤害问题。

结构抗振设计

1、结构设计时应该提高结构刚性:

a)框架结构应尽量采用三角形稳定结构;

b)避免在大面积的支撑结构上连续开孔

c)竟可能采用焊接、铸造结构,在使用螺栓连接的场合,应具备足够的紧固力并有防松脱措施。

d)设备内部的各个组件的刚度应该与整体保持一致,薄弱环节需要做加固处理。

2、避免共振

a)当振动源的激励频率很低的时候,应增强设备结构的刚性,提高设备及元器件的固有频率和振动源激励频率的比值,使得隔振系数接近于1,以防止发生共振。

隔振系数:

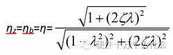
根据激振源的不同,隔振可分为两类。对于本身是振源的设备,为了减少它对周围机器、仪器和建筑物的影响,将它与支承隔离开,以便减小传给支承上的不平衡惯性力,称为积极隔振,又称主动隔振。水泵、发动机、锻锤机械等的隔振就属此类。积极隔振系数ηz表示积极隔振效果;它等于隔振后传到地基上的力除以未隔振时传到支承上去的力。对于振源来自支承振动的情况,为了减少外界振动传到系统中来,把系统安装在一个隔振的台座上,使之与地基隔离,这种措施称为消极隔振,又称被动隔振。车辆的乘座、精密仪器的安装、环境运输的包装、舰艇上导弹发射架的隔振等都属此类。消极隔振系数ηb表示消极隔振效果,它等于隔振后机器设备的振幅除以支承运动的振幅。隔振系数小表示隔振效果好。两类隔振系数的计算公式是相同的。

对于单自由度隔振系统,

式中η为隔振系数;

λ=

,ωj为激励频率,ωn为隔振系统固有频率;c为粘性阻尼系数,cc为临界阻尼系数。

隔振系数公式可用图1中的曲线表示。从图上可以看出:

①只有当频率比λ> 时,才有隔振效果,且随着λ增加,隔振效果也逐渐增大,实用中取λ=2.5〜5;

②增大阻尼可以减小机器在起动和停车过程中经过共振区(见线性振动)的振幅,但在时,阻尼的增加反而减小隔振效果;

③常用的隔振器材由于阻尼系数不大,在λ=2.5〜5范围内计算隔振系数时,可按无阻尼情况考虑。

隔振系数公式依据下列假设:机器或设备是刚体,地基是无限大的刚体;隔振器由无质量的线性弹簧和无质量的粘性阻尼器组成。实际情况和假设有出入,故隔振系数的实际公式也同理论公式有出入。近代研究发现隔振器在用于低频激振时很有效,但用在高频时效果不够理想。当激振力频率增大时,隔振系数的曲线中出现了一系列峰值(图2)。主要原因是高频振动在结构中以弹性波形式传播,激起了结构介质的波动效应。为了改善高频时的隔振效果,除采用波动效应小的橡胶弹簧代替金属弹簧外,目前还发展了双质量隔振系统,并已用于舰船等设备中。

图2考虑波动效应后的隔振系数曲线

有时被隔振的机械或仪器可能受到几个方面的激励(见振动),此时隔振设计应按多自由度系统进行,即应考虑被隔振物体的直线振动、扭转振动以及它们之间的耦合振动。

b)隔振设计要点

隔振设计的要点是:首先要对环境振源进行调査,包括振源类别、量级、方向和频率范围等项目;其次根据隔振体本身的重量和隔振要求,按频率比λ≥2.5〜5进行计算,选择减振器型式、装配方式和参量(阻尼系数、刚度);最后用仪器测试校核隔振效果,验算隔振系数。

常用的隔振器材有天然或人造橡胶制品、金属弹簧制品、不锈钢丝网制品以及近十年出现的多种高分子化合物的粘弹性材料制品。这些器材既可用来隔振,又能起抗冲、降噪作用。

把机械安装在合适的弹性装置上以隔离机械振动传播的措施。依振源的不同有两种性质不同的隔振措施(图1)。如果机械本身是振源,应使它与支承隔离,以减少对周围的影响,这称为主动隔振。如振源来自支承的运动,为减少外界振动对机械的影响,须使支承与机械隔离,这称为被动隔振。

隔振系数η表示隔振的效果。主动隔振系数ηz与ηb概念不同,但计算公式相同。其值越小隔振的效果越好。对于单自由度隔振系统式中λ=ωj/ωn为频率比,即激励频率ωj与隔振系统固有频率ωn之比,ζ为阻尼比。根据隔振系数曲线(图2):①无论阻尼大小,只有当频率比时才有隔振效果,而后随λ的增加隔振效果逐渐增加,实用中取λ=2.5~5已经足够;②增大阻尼可减小机械在起动和停车过程中经过共振区时的振幅,但在后,增大阻尼反而减小隔振效果;③由于一般隔振材料阻尼系数不大,在λ=2.5~5范围内计算隔振系数时,可按无阻尼情况考虑。具体的隔振措施有设置弹性支撑物和防振沟等。对于隔振效果要求很高的精密仪器,一般采用多层隔板;对于多向激励、多种响应的复杂隔振系统,则要考虑直线振动、扭转振动和它们之间的耦合,隔振系数须按多自由度模型进行计算。当频率比λ变化较大时,如宽频带激励和重量变化大的机械,采用非线性隔振系统可以收到较好的隔振效果。在隔振设计中,根据振源振动量的大小、方向和频率,以及被隔振机械的尺寸、重量和隔振要求,确定隔振装置的参数和结构型式。

隔振材料选用

隔离振动所用的材料一般有软木、毛毡、泡沫乳胶、橡胶、金属弹簧和空气弹簧等。相应地也形成了海绵隔振垫、橡胶隔振器、金属弹簧隔振器、空气弹簧隔振器等。空气弹簧隔振器固有频率接近1Hz,是一种比较理想的高效能隔振器,但辅助系统太复杂,仅用在有特殊要求的精密仪器上。目前在电子设备中广泛使用的是橡胶隔振器和金属隔振器。

橡胶隔振器是以金属作为支撑骨架,并与橡胶在压模内硫化而成的。它具有较大阻尼(对高频振动的能量吸收有特效)、造价低、且制造比较简单方便,所以应用比较广泛,在早期的舰艇上应用非常普遍。但橡胶本身的性质受温度、光照、油性环境等影响比较大,容易老化,现在已经逐渐被金属隔振器所取代。采用三维库仑阻尼和粘性复合阻尼的新型橡胶隔振器改变了结构,能在低频有效地抑制共振,当振动频率高于12-15Hz时具有良好的隔离效果,对冲击衰减也很明显,已经在声呐、雷达、车载电台上广泛采用,但由于要给橡胶件以变形空间,所以尺寸较大。

金属隔振器对环境条件反应不敏感,不易老化、性能稳定,设计和计算比橡胶的容易,但它的阻尼过小,容易传递高频振动,在经过共振区时,设备会产生过大的振幅,有时需要另加阻尼器或在隔振器中附加零件作为摩擦元件形成阻尼。电子设备中经常采用的GS型全金属钢丝绳隔振器,如图2所示,它是利用多股钢丝绳之间相对滑移而产生的非线性干摩擦滞后,来大量吸收和耗散系统运动能量,以改善系统运行的动态平稳性,保护设备安全工作的。这种隔振器尺寸较小,在比较狭小的场合内比较合适,例如航空、航天领域的电子设备中,在舰艇上也大量应用。

在电子设备中另一种常用的金属隔振器是GWF型无谐振峰隔振器,其典型结构如图3。它采用刚度拟合技术和干摩擦阻尼技术来实现低固有频率、无共振放大、并可兼顾缓冲的结构设计,调节螺旋簧可以调节隔振器的载荷,调节阻尼簧可以调节阻尼特性,因而可实现在三个座标轴方向全频带(例如0~5000Hz)内无谐振峰。

橡胶隔振器:承载能力低,阻尼大(阻尼系数0.15~0.3)有蠕变效应,可做成各种形状。

空气弹簧隔振器:刚度由压缩空气的内能决定。阻尼系数0.15~0.3

金属弹簧隔振器:承载能力高,变形量大,刚度小(阻尼系数0.01),水平刚度较竖直刚度小,易晃动。

泡沫橡胶和泡沫塑料:弹性强,刚度小,阻尼系数为0.1~0.15,固有频率可设计的很低,承载能力低,性能不稳定,易老化

c)尽量提高设备的固有振动频率,电子设备机柜的固有频率应为最高强迫频率的两倍,电子组件因为机柜的两倍。如舰船和潜水艇的振动频率一般的振动频率为12~33Hz,机柜固有振动频率应该不低于60Hz,电子元器件的固有频率应该高于120Hz。

电路抗振设计

1、选择剥离强度高的基板材料

PCB基板剥离强度测试:

2、PCB采用大面积的焊盘和导电图形。

3、对元器件采用局部或者整体加固。

4、必要时PCB加金属框架

5、电阻器安装应该考虑由于温升导致的膨胀,电阻器好固定电容器的重量大于15g时,不得用引线作为支撑,引出线的元器件的端部到焊点的距离不得超过25mm。

6、凡是依靠自身引线支撑的元器件,轴向引线元器件每根引线承载重量不得大于7g,径向引线元器件每根引线承载重量大于3.5g时,需要加固;单体重量大于31g时,需要加固。并且注明加固方法:粘固、绑扎。

7、冲击振动环境恶劣的情况下,PCB设计面积尺寸不宜过大。否则,采用结构加固措施。

8、加固材料

a)加固材料一般采用单组分硅橡胶,特殊要求元器件采用透明环氧树脂加固。

透明环氧树脂是双组份的胶凝材料,按体积比:A组比B组=2.5ML比1ML即A组25克,B组10克;按质量A组比B组=3g比1g。使用时两组混合后一定要顺同一个方向搅拌均匀到位。一般透明树脂都自带消泡剂,如气温过低或滴加后产品有气泡需抽真空,进行排气。抽真空时最好加防护罩,避免污染,全生产过程注意不要弄脏产品。偏大的产品会有明显的体积收缩。一般25摄氏度60-80分钟固化。

b)加固材料的相容性控制:硅橡胶加固时,不能选用聚氨酯类图层,硅橡胶与这类图层附着力差,容易剥落;应选用邮寄硅类图层。

c)加固时,产品黏附部分呈水平状态,防止平稳;加固材料低于引线与PCB连接处,或者元器件与PCB之间的位置。固化,形成支撑物24h后,以60度烘烤半小时,出去挥发性副产物,实现气体排出,结构结实。

4 整机绝缘材料和布线

1、绝缘材料选择绝缘材料时,主要考虑以下几方面的因素:

① 抗电强度,每毫米厚度的材料所能承受的电压。

②机械强度,每平方厘米所能承受的拉力。

③ 耐热等级,绝缘材料允许工作的最高工作温度。

几种常见绝缘材料的耐热等级如下:

2、整机布线和扎线工艺配线使用不同颜色的导线,便于区分电路的性质和功能以及减少接线的错误。

布线遵循以下原则:

①应减小电路分布参数。

②避免相互干扰和寄生耦合。

③尽量消除地线的影响。

④应满足装配工艺的要求。

5 整机的环境(自然)适应性设计——三防设计

三防设计的的定义:根据电子设备寿命期环境剖面及三防等级要求,对其系统设备和某

些特定单元及部件采取的防湿热,防霉菌,防盐雾腐蚀的设计思想,设计方法和防护工艺措施。

三防设计的原则:①将三防设计纳入到系统和设备的功能设计中,避免单纯的工艺防护和事后补救措施.

②按规范设计,避免设计的随意性。

③三防新设计,新工艺,新材料必须经试验、评审并制定典型工艺规范。

④设备及关键部件的三防性能,须按军标中有关规定进行试验,以满足必需的环境适应性要求.。

⑤跟踪设备在(使用)寿命期内所出现的三防问题。

1、环境条件分类

1)按自然气候分:如湿热、干热、暖温、寒温、寒冷……

2)按产品所处状态:如运输、贮存、使用等;

3)按照产品使用场合:室内、室外、舰船、车载、机载……

4)按环境因素的属性:如气候、机械、生物、电磁、特殊介质… 第四种分类法是 70 年代后期国际电工委员会推荐的分类法,适合于电工、电子产品。

2、环境(自然)适应性相关术语

1)寿命期环境剖面(Life cycle environment pro)

LCEP 用以表征设备在整个寿命期内会暴露于其中的环境或环境的综合,LCEP 应包括以下内容:

①从设备出厂验收、运输、贮存、使用、维修直到报废所遇到的环境应力 的综合;

②每个寿命期阶段的环境条件相对和绝对限期出现的次数及频度的可能性。

③LCEP 是设备制造商在设计前应了解的信息,包括:

A使用或部署的地域;

B设备要安装、存储或运输的平台;

C有关相同或类似的设备在此平台环境条件下应用状况。

LCEP 应由设备制造商的三防专家制定,是设备三防设计和环境试验剪裁的主要依据,它对要研制的设备在真实环境下的性能和幸存性方面的设计提供依据。它是个动态文件,一旦得到新的信息,它它应当定期修订更新。LCEP 应在设备的设计规格书中环境要求部分出现。

2)平台环境(Platform environment)

设备由于被连接到或装载于某一平台上后而经受的环境条件。平台环境是由此平台和任何环境控制系统诱发或强迫作用造成的结果。

3)诱发环境(Induced environment)

主要是指人为的或设备产生的某一局部环境条件,也指自然环境强迫作用和设备的物理化学特性综合影响造成的任何内部条件。

4)环境适应性(Environmental adaptability)

电子设备、整机、分机、元器件以及材料在预期的环境中实现其功能的能力。

3、环境类型和三防等级

对环境条件进行分类,就有了环境类型。但环境类型种类繁多,至今分类方法不一。但在三防技术领域,环境条件根据设备的使用场所和实际承受环境来划分是比较实用和直观的,可分为 A、B、C、D 四种三防环境类型。从 A 类环境到 D 类环境,环境条件越来越恶劣。

1)A 类环境

A类环境指温度和湿度受控的环境。比如有空调的地面室内和车载方舱环境。A 类环境往往被称为较好的环境类型。

2)B 类环境

B类环境指温度和湿度不受控的地面室内环境以及户外具有遮蔽的环境。在 B 类环境下,相对湿度偶尔能够达到 100%,设备内部可能凝露。B 类环境虽然温湿度不受控但整体环境并不十分恶劣。

3)C 类环境

C类环境指气候腐蚀和污染较严重的恶劣环境。如海洋、海岛及距离海岸直线距离 37公里区域的环境、海上舰船环境、盐碱地及其周边 37 公里范围内区域的环境、释放有害物质(主要是酸、碱、盐、二氧化硫和硫化氢等)的工厂及其周边 3 公里范围区域的环境。

4)D 类环境

D类环境专指空间环境。航天器在空间飞行过程中,影响设备工作的全部外界条件总和,包括自然的、人为的或其它诱导条件。空间环境极其恶劣,近真空、微重力、高辐射和原子氧腐蚀是其最显著的特点。

另外,对于设备的结构件,可分为 I 型表面和Ⅱ型表面。

I 型(暴露)表面

I 型表面,专用于设备的结构件,指设备处于工作或行进状态时暴露于自然环境的表面,

或虽然未暴露于自然环境但能够受到各种气候因素直接作用的表面。这里的气候因素包括: 极端温度、极端湿度、雨、雪、含盐大气、工业大气、日光直接照射、尘埃和风砂等。例如,电子方舱的外表面就属于 I 型表面;户外天馈系统的外表面均属 I 型表面。

Ⅱ型(遮蔽)表面

Ⅱ型表面,专用于设备的结构件,指设备工作时不暴露于自然环境,并且不会受到雨、

雪等直接作用和日光直接照晒的表面。例如,电子方舱的内表面以及方舱内电子设备的所有表面都属于Ⅱ型表面。

相应的,处于 I 型表面的结构件称为 I 型结构件;处于Ⅱ型表面的结构件称为Ⅱ型结构件。

三防等级分一级和二级,一级防护针对有抗恶劣环境设计要求的电子设备。二级防护针对在良好环境下工作的电子设备。

在分析设备的三防等级时,需考虑下列因素:

A.电子设备的服务期限一般规定为 15 年,考虑到技术的飞速发展和设备快速更新的需求以及费用成本的因素,通常按 10 年的设备寿命采取三防设计措施:

B.设备在寿命期环境面的条件下能够可靠正常地工作

C.于成本原因的考虑,一般不按寿命期环境条件的极值进行三防设计,而按综合条件折中设计这样既可满足技术实现的可行性,又可满足一般恶劣环境条件的广泛适用性。

在最终确定设备的三防等级时,需考虑下列因素:

1)三防等级是根据设备的实际寿命期环境剖面确定的。因此同一种功能和性能的设备安装使用在不同的平台或不同的地区时,其防护等级可以不同;

2)在某些情况下,可以用一级防护代替二级防护,而不允许用二级防护代替一级防护;

3)任何设备在研制初期,必须确定三防等级。

一般来说,B 类、C 类和 D 类环境以及结构件的 I 型表面均应采用一级防护;A 类环境及结构件的Ⅱ型表面一般采用二级防护。

4、环境因素及其影响

环境因素包括温度、湿度、粉尘、盐雾、游离腐蚀性气体 ( SO2 H2S SO3- )、霉菌、昆虫和啮齿类动物、太阳辐射。

1)温度的影响

A. 正面影响,高温对驱潮湿有利,并可防止凝露及露点的产生。

2)负面影响,当设备工作时会产生热量,机柜内部气压升高而气体外溢。而不工作时气温下降,则外部湿气及污染物会进入机柜内。

2)湿度的影响

①设备和工程材料腐蚀过程中, 水是主要的介质。

②当大气中 RH<20 %时,几乎所有腐蚀现象都停止. 因此防潮是三防中最重要的一环。

③当 RH 达到 60 % 时, 设备表面层会形成 2~4 个水分子厚的水膜.当有污染物溶入时, 会有化学反应产生。

④当 RH 达到 80 % 时, 会有 5~20 个分子厚的水膜, 各种分子都可自由活动

⑤当有碳元素存在,可能产生电化学反应.

⑥临界湿度` (Critical R·H )-----一种物质明显吸收水份的湿度。例如:

a.氯化钠:当在 20℃ 时,CRH 为 75 %

b.铁或钢:当在 20℃ 时,CRH 为 65 % c.锌合金:当在 20℃ 时,CRH 为 70 %

水分子很小,足以能穿透某些高分子材料的网状分子间隙而进入内部或通过涂层的针孔而达到底层金属产生腐蚀。

3)潮湿(冷凝)的影响

对电子设备而言,潮湿是以三种形式存在:雨水,冷凝和水汽。水是电解质,能溶解大量的腐蚀性离子对金属产生腐蚀。当设备的某一处的温度低于“露点”(温度)时,该处结构件或 PCB 的表面会有凝露产生。

影响电路板的主要是凝露和灰尘,当凝露的水分蒸发后,污染物就会以一圈的形式残留在电路板上,其中硫酸盐占的比例为 25~60 %,这一圈将是吸附潮湿,腐蚀 PCB 及器件的源头。潮湿同时是酶菌、盐雾的载体。

4)潮湿(湿热)的影响

A.破坏防护渡层,加速电化学腐蚀;

B.结构件锈蚀,影响外观及功能;

C.对电路板(PCBA)可产生电流泄漏、信号串扰、枝晶生长、导线断开;

D.绝缘材料受潮使绝缘电阻和耐压水平下降,造成短路、爬电、飞弧甚至于火灾。

E.射频接口对潮湿更敏感;

F.微波器件功率下降,甚至于失效;

G.EMC 衬垫/铝合金产生电化学腐蚀而失效。

4)粉尘的影响

粗粉尘是直径在 2.5~15 微米的不规则颗粒, 一般不会引起电弧等问题,但会影响连接器的接触.

细尘是直径小于 2.5 微米的不规则颗粒, 细尘落在 PCB(单板)上有一定的附着力,须通过防静电刷才可除去。细尘的腐蚀性很大,尤其是当含有腐蚀性的酸、碱、盐时,当 RH 大于 60%时,能透过阻焊膜或敷形涂层将铜导线腐蚀断开。

粉尘+盐雾+湿热对 PCB 的腐蚀最大。C 类环境最容易发生这类腐蚀问题。

粉尘的防护:

①采用密封或半密封结构设计

②定期更换设备的防尘网

③定期清洁处理设备

4)盐雾的影响

盐雾的形成:盐雾是海浪、潮汐及大气环流(季风)气压、日照等自然因素造成,会随风飘落至内陆,其浓度随离海岸距离而递减,通常离海岸 1Km 处为岸边的 1 % (但台风期会吹向更远)。

盐雾的危害性:使金属结构件镀层破坏;加速电化学腐蚀速度导致金属导线断裂、元器件失效。

另外还有类似的腐蚀源,操作过程中需要注意:

①手汗中有盐、尿素、乳酸等化学物质,对电子设备回产生与盐雾同样的腐蚀作用,因此在装配或使用过程中应戴手套,不可裸手触摸镀层。

②焊剂中有卤素及酸性物,应进行清洗,并控制其残留浓度。

5)有害气体的影响

大气中污染物存在的形式:

①以气体形式,如 H2S SO2 O3 CO NH3

②悬浮的有机酸和无机酸;

③离子悬浮棵粒;这三种形态都依赖于潮湿才能起腐蚀作用。

局部微环境的有害气体:

①橡胶、塑料、油漆、PVC 导线、包装材料释放的有害气体;

②有害气体:H2S SO2 乙酸、甲醛、有机气氛、挥发性有机硅类气氛等。

③RTV 硅橡胶固化时释放的有害气体——在密封机箱内, 禁用双组份缩合型硅橡胶;慎用 RTV 单组份硅橡胶。有害气体的危害:

①银层变色

H2S、SO2 及其它含硫气氛在潮湿和紫外线作用下使镀银件产生化学反应生成 Ag2S。

②加速银离子迁移

在潮湿和有电位差的条件下,银离子会发生迁移,而 H2S、SO2 会加速其迁移,结果是厚膜电路引线间短路而造成灾难性后果。

③镀层腐蚀

阴极镀层:在潮湿条件下通过孔隙腐蚀底层金属;在电路板有电位差情况下会产生枝晶生长、造成短路、电弧和潜在的失火源。

阳极镀层:对镀锌等阳极镀层会破坏钝化膜从而加速腐蚀。

④贵金属触点“中毒”

6)霉菌的影响 霉菌的危害:

①霉菌吞噬和繁殖使有机材料绝缘性下降, 损坏而失效。

②霉菌的代谢产物是有机酸, 影响绝缘性及抗电强度而产生电弧。

③长霉表面影响外观。

霉菌的防范:

①尽量选用不长霉的材料;

②如必须加防霉剂需考虑其它因素。

7)昆虫、噬齿动物(鼠害)的影响

①啃噬电缆,破坏结构,破坏绝缘.

②垫窝引起短路.

③鼠尿引起腐蚀.

在实际案例中, 由鼠害导致的设备失效比想象的要多。

8)太阳辐射影响

①光老化是对户外产品中非金属材料的重要试验项目, 很多材料(如橡胶、塑料)在户外会因紫外线、臭氧作用而降解、失效。

②实验方法大气暴露试验:真实、简单、环境多样性、但试验周期长。人工加速试验:快速、与大气暴露试验有较好的对应关系。

③加速实验

材料:紫外线 ASTM G53 使用 UVB310nm 4h/60℃;4h/50℃ 共 1000h。臭 氧 ASTM D518 暴露 70 小时。

试样:

氙 灯 GB 12527—90 1006 h

臭 氧 GB 12527—90 70 h

合格判据:不降解、无龟裂、强度变化±30 %

6 防水设计

早年的防水手机,大多是被动式防水手机。手机多采用加保护塞的方式来防水,由此造成了手机在厚度以及重量上皆不尽人意。最重要的是,随着时间的推移,手机上的防水塞将逐渐老化,最后导致防水失效,防水性能无法得到保证。

世界上大多数人经常使用的拥有防水防尘技术的手机应该数三星为第一,手机已经达到了ip68的程度, 6为防尘等级,8为防水等级,这些都应用在了三星的s系列和NOTE系列,大大的减少了三星的受损几率,多人都以为防水防尘仅仅只是防止接触水和灰尘而已,但事实上绝非仅仅如此,接下来我们就根据三星s49来了解一下这个防水防尘的功能,

S9并不是整个机身封闭的,它拥有至少五六个孔,耳机、充电、卡槽等,而且像很多手机按键,例如电源键,音量键等也都是与手机内部的许多重要元件相连,那么在这种多孔,按键又多与元件相连,它是怎么做到防水的?首先,我们需要从按键、听筒、扬声器、耳机孔、充电孔和sim卡槽6个方面来分别探究一下新高标准的防水机制。

首先来看SIM卡槽,虽然说这个卡槽在手机的整体地位中非常重要。但是它的防水却十分的简单,只需要在卡槽边上垫上一圈防水硅垫就可以了,怎么样,是不是非常的简单?而这个卡槽的防水还可以通过其它方法来解决,除了这种在外部添加防水的硅胶垫以外,其它的都需要从它的手机内部出发,稍微有一点点麻烦。而至于在手机按键处防水。也是比较简单的,我说是一般的,别的品牌的手机,它们往往会采用直接挤压锅仔片,但是三星的防水一直都是行业里的行家,所以说它采取了添加一层防水橡胶膜。简单又效果更好。

而至于听筒和扬声器这一类东西的防水是在扬声器内部与外部开孔之间存在一层过滤网,以及该网的周边是由一圈防水硅胶组成,过滤网是为了让空气自由流通使声音足以传递,但是又能够防止外部的水进入内部,声音不能在真空中传播的原理,大家应该都清楚,而且自然环境下的水,往往做不到科研中的水,那样达成小分子结构,而大多数都是以分子团为基准,因此这个过滤网它的孔径只要比这个小就可以了,所以说它的直径介于两者之间就能够保证空气流通而阻止水流进入。但是可不要以为过滤网是万能的,否则又怎么会加一层防水橡胶圈呢?水压还是会导致水穿过过滤网?但是万一水压过大,水还是可以透过滤网,因此橡胶圈的存在可以防止水进入手机内部。就算是进水了,也只是进入扬声器里面,并不会给手机造成更大的伤害。

而至于充电孔的防水,则更加简单了,因为充电孔本身不与手机内部连接,所以说即便进水了也无所谓,需要考虑到设计师,如何让进水以后水顺利排出?毕竟水如果残留在金属元件的内部,而且自然界的水杂质很多,很容易腐蚀一些电子部件,到时候充电的地方没用了,这个手机不也就报废了吗?在三星的设计之中,它们采用了特殊的涂料gore Tex,这种涂料可以有效地避免水残留在手机内部。

最后就是三星防水设计中最难的一点,那就是耳机孔了,毕竟在华为手机mate20系列就无法处理这个问题,它们直接取消了3.5mm的耳机孔,而三星却成功保留了,首先就是在耳机孔涂上防水的特殊涂料,其次加上了一圈橡胶圈,防止水从缝隙进入。毕竟耳机孔其实也是一个不接触内部的部分,所以同样只要防止水渗漏和遗留就可以了。

防水手机发展史上的几位“奠基者”

爱立信R250 PRO

早在1999年,爱立信推出了全球首款防水手机——爱立信R250 PRO,该机采用镁金属机身设计,缝隙中加入橡胶处理,此外还对诸多细节做了特殊处理,保证了该机的防水性能,该机成为了后来防水手机的模仿对象。

摩托罗拉Defy

进入智能手机时代,摩托罗拉Defy的成功为智能手机防水带来了可行性。值得注意的是,厚重刻板的三防手机显然得不到用户的“厚爱”,在2012年,索尼移动将防尘防水功能列入到手机设计的重点,从Xperia Acro S开始,到极致轻薄的Xperia Z L36h,再到Xperia Z3+在防水技术上带来新突破,Xperia Z3+在USB接口采用Capless无盖裸露的防水技术,防水级别达到IP65/IP68水准。

索尼 Xperia Z3+

索尼对于手机防水技术的执着影响了很多手机厂商,在2016年CES上,三星Galaxy S7的发布,再次把防水功能拉入了旗舰智能手机的行列。

IPXX防护等级概念

防护标准等级

这里的“IP”是国际防护标准等级;简而言之,IPXX中“XX”两位数字分别代表防尘和防水等级,其中防尘等级从0~6,防水等级则从0~8。

第一个“X”指的是防止外物和灰尘侵入的等级,用0-6的标数来判断其防护能力:

防尘能力等级

对于手机设备而言,防尘5级意味着设备已经有了较好的防尘效果,虽不能完全防止灰尘侵入,但灰尘的侵入量不会影响电器的正常运作;6级则是完全防止灰尘侵入,所有接口等部位都密封完全,是与内部元器件完全隔绝。

第二个“X”是指防水等级,是由国际工业防水等级标准IPX和日本工业防水标准的JIS等级的统一制定标准,用0-8的标数将将防水能力分为9级:

防水能力等级

简单来说,对于一些防水性能一般的手机,只要做到6级及以下的防溅水能力,就能够防止一些生活洒水和雨水入侵到手机内,7级意味着设备在1米以内的水中,可以承受长达30分钟的浸泡而内部不进水,8级标准则更进一步,可以保证设备在1.5米以下的水中进浸泡30分钟内安然无恙。

1、范围

防水试验包括第二位特征数字为1至8,即防护等级代码为IPX1至IPX8。

2、各种等级的防水试验内容

(1)IPX1

方法名称:垂直滴水试验

试验设备:滴水试验装置及其试验方法见2.11

试样放置:按试样正常工作位置摆放在以1r/min的旋转样品台上,样品顶部至滴水口的距离不大于200mm

试验条件:滴水量为1 0.5 mm/min;

试验持续时间:10 min;

(2)IPX2

方法名称:倾斜 15°滴水试验

试验设备:滴水试验装置及其试验方法见2.11

试样放置:使试样的一个面与垂线成15°角,样品顶部至滴水口的距离不大于200mm。每试完一个面后,换另一个 .....面,共四次。

试验条件:滴水量为3 0.5 mm/min;

试验持续时间:4×2.5 min(共10 min);

(3)IPX3

方法名称:淋水试验

试验方法:

a.摆管式淋水试验

试验设备:摆管式淋水溅水试验装置(装置图形及其试验方法见本书2.14)

试样放置:选择适当半径的摆管,使样品台面高度处于摆管直径位置上,将试样放在样台上,使其顶部到样品喷水口的距离不大于200mm,样品台不旋转。

试验条件:水流量按摆管的喷水孔数计算,每孔为 0.07 L/min。淋水时,摆管中点两边各60°弧段内的喷水孔的喷水喷向样品。被试样品放在摆管半圆中心。摆管沿垂线两边各摆动60°,共120°。每次摆动(2×120°)约4s 。

试验时间:连续淋水10 min 。

b.喷头式淋水试验

试验设备:手持式淋水溅水试验装置,装置图形及其试验方法见本书2.14

试样放置:使试验顶部到手持喷头喷水口的平行距离在300mm至500mm之间

试验条件:试验时应安装带平衡重物的挡板,水流量为10 L/min

试验时间:按被检样品外壳表面积计算,每平方米为1 min (不包括安装面积),最少5 min 。

(4)IPX4

方法名称:溅水试验;

试验方法:

a.摆管式溅水试验

试验设备和试样放置:与上述第(3)条 IPX3 之a 款均相同;

试验条件: 除下述条件外,与上述第(3)条 IPX3 之a 款均相同;

喷水面积为摆管中点两边各90°弧段内喷水孔的喷水喷向样品。被试样品放在摆管半圆中心。摆管沿垂两边各摆动180°,共约360°。每次摆动 (2×360°) 约12s 。

试验时间:与上述第(3) 条 IPX3 之a 款均相同 (即10 min )。

b.喷头式溅水试验

试验设备和试样放置:设备上安装带平衡重物的挡板应拆去,其余与上述第(3) 条 IPX3 之b款均相同;

试验条件:除下述条件外,与上述第(3)条 IPX3 之b款均相同;

试验时间:与上述第(3)条 IPX3 之b款均相同, 即按被检样品外壳表面积计算,每平方米为1min(不包括安装面积)最少5min 。

(5)IPX5

方法名称:喷水试验

试验设备:喷嘴的喷水口内径为6.3mm;装置图形及其试验方法见本书2.14

试验条件:使试验样品至喷水口相距为2.5~3m,水流量为12.5 L/min (750 L/h);

试验时间:按被检样品外壳表面积计算,每平方米为1min(不包括安装面积)最少3 min 。

(6)IPX6

方法名称:强烈喷水试验;

试验设备:喷嘴的喷水口内径为12.5 mm;装置图形及其试验方法见本书第2.14章;

试验条件:使试验样品至喷水口相距为2.5~3m,水流量为100 L/min (6000 L/h);

试验时间:按被检样品外壳表面积计算,每平方米为1min(不包括安装面积)最少3 min 。

(7)IPX7

方法名称:短时浸水试验;

试验设备和试验条件:浸水箱。其尺寸应使试样放进浸水箱后,样品底部到水面的距离至少为 1m 。试样顶部到水面距离至少为0.15 m 。

试验时间: 30 min 。

(8)IPX8

方法名称: 持续潜水试验;

试验设备,试验条件和试验时间: 由供需(买卖)双方商定.其严酷程度应比IPX7高。

通常采用的手机防水设计

手机防水其实并没有什么“黑科技”,防水手机普遍采用的方法就是密封胶、橡胶圈、防水膜、纳米涂层。通常手机容易进水的部位:手机壳、听筒、扬声器、USB接口、实体按键等部件。

三星Galaxy S7后盖/屏幕防水设计

首先,外部防水设计,手机壳/屏幕通常使用了大量的密封胶粘合来有效密封手机,起到防水作用。

三星Galaxy S7听筒防水设计

其次,听筒、扬声器、麦克风使用防尘防水的膜放在手机外壳里面进行防水,防水膜能够在最大程度保持密闭的情况下加入呈网状的泄压孔,可以理解为“透气不透水”。

三星Galaxy S7采用的橡胶圈防水设计

在耳机接口、USB接口、卡槽、实体按键与机身之间的缝隙通常使用橡胶圈来密封,从而达到防水的效果。

接口防水设计(左为防水薄膜防水/右为胶塞防水)

在耳机接口和USB接口的内部处理上,早期的设计通常是在端口处采用防水胶塞来防水,现在随着技术不断的进步,端口都采用裸露式的防水设计,内置纳米涂层/“防雨薄膜”等。

※注:三星Galaxy S7采用了GORE-TEX(戈尔特斯)的防雨薄膜,其材料本身轻、薄、坚固和耐用,它具有防水、透气和防风功能;GORE-TEX薄膜材料的防水原理也很简单,其每平方英寸有90亿个极微小细孔的薄膜,尽管这些微孔的体积是水分子的七百倍,但是仅为液态水滴的两万分之一,所以水分子可以以水蒸汽的形式排出,外侧水滴却无法进入。

至于防水主板,手机厂商通常在主板上增加一层防水涂层,让主板具备实现一定的防水能力的。使用这种防水涂层后,滴到主板上的水会很容易流下来,而不会因为水的表面张力而吸在主板上。

防水功能之前没有被智能手机广泛配备的原因?

1、为了节省成本:

防水设计成本将大大增加

(1)在扬声器、听筒、麦克风都增加一层“防水膜”,材料成本可能在20元左右;

(2)屏幕/后壳与中框之间的缝隙,通常采用密封胶来处理,增加成本;

(3)USB接口、耳机接口、实体按键与机身之间的缝隙,通常采用橡胶圈来处理,成本再次提升;

(4)如果USB接口、耳机接口内部结构设计将采用防水技术,继续增加成本;

(5)机身材质也要考虑防水性能,成本可能还要增加;

(6)防水手机在量产前后,手机必须经过实验室的质量检测,费用“不菲”。

成本增加或许是“遏制”手机防水性能普及的一个最重要的因素。

2、制程难度升级

如果手机采用防水设计,手机代工厂将增加工序,生产难度、良品率将会受到影响,一系列的制程需求对于代工厂商来说要求较高,如果订单量较大,产能可能出现问题。

关于手机“进液标识”

三星手机的“进液标识”

Mate9有两个防水标签,如果防水标签变红证明手机进水,如果没变红表明没进水一个在手机内部:需要拆开手机,在手机才能看到,靠近USB接口处,另一个可不用拆开手机就能看见,从耳机孔外就能看见,如果变红表示耳机孔处进水。

7、环保设计

目前遵循的环保指令主要是 WEEE Directive (欧盟议会和欧盟理事会关于报废电子电气设备指令)和 RoHS (欧盟议会和欧盟理事会关于在电气电子设备中限制使用某些有害物质指

令)。

从 2006 年 7 月欧盟市场禁用铅,汞,六价铬,镉,多溴联苯 (PBB),和聚溴二苯醚

(PBDE) 等 6 种有毒物质。

整机设计时,还需要注意回收率。回收率增加至设备重量的 75 % 以上。组件、材料和物质再利用和再循环增加至设备重量的 65%以上。

另外,整机还需要粘贴环保标志,便于分类收集生产者投放到市场的电子电气设备。

标识:环保、分离回收、回收材料、设备分拆、包装材料等标识。

A 类环境的防护

A 类防护的重点在于合理的选用材料,局部喷涂,金属(镀锌层)丝印,EMC 材料的接触腐蚀,运输、储存环境剖面的不可预见性。

1)铝及铝合金选用注意如下事项:

①铝及铝合金的耐蚀性:纯铝>防锈铝>锻铝>压铸铝>硬铝

②硬铝(合金铝)通常表面有一层包铝层(纯铝)保护基体材料,当机加工后,基体裸露,由于铜元素的分部,在贫铜区会产生凹蚀坑及“白粉”状腐蚀物。因此,在湿热环境下应用硬铝如 2A12 等的加工件(破坏包铝层)要非常慎重。

③根据结构特点及功能要求铝及铝合金的选用原则是:无承力要求及导电件选用纯铝;有一般承力要求的钣金件可选用防锈铝;铝型材及机加工件例如:屏蔽盒可选用锻铝 6061 或 6063;

压铸铝合金应选用 YL102,而尽量不用 ADC12(含铜)。

2)A 类环境工艺要求 ①电镀、氧化件要避免深凹、盲孔及积水结构;在前处理时,盲孔内会截留腐蚀性液体而不易清除。应避免夹缝结构,以防储留腐蚀液。

②组合工序的安排:

带有螺纹连接、压合、搭接、铆接、点焊等组合件,原则上不允许进行电化学处理

(电镀、阳极化);

不同类金属材料的组合件不能在一起进行溶液处理。应尽可能采用涂漆或在电化学处理后进行组合。

③镀锌层须考虑的潜在问题:

经铬酸盐钝化处理的镀锌层零件,其使用温度不得超过 71℃ 。这对于有局部喷漆保护的零件不适用,会使裸露的锌层钝化膜失效。

④“氢脆”

高强度钢(抗拉强度超过 1050MPa)在电镀过程中会出现氢脆现象。弹性零件一般不建议电镀,由于环境或特殊要求(导电、耐磨等)必须电镀时,电镀前应消除应力,电镀后进行除氢处理。

电镀后立即将零件置于 177 ℃~204 ℃下烘烤 5 小时,然后进行钝化处理。成型、淬火后,零件应在 149 ℃ ~260℃下烘拷 30 分钟,以消除应力,然后进行清理和镀覆。

⑤电偶腐蚀,不同金属的接触电位差在 A 类环境应控制在 0.4V。

⑥A 类环境的设备须考虑到运输、储存时所会遇到的 B、C 类环境剖面

对于军用电子设备 PCB 需进行敷形保护涂覆。要考虑运输, 储存, 维修时可能遇到 B, C 类环境, 提高可靠性及环境适应性能力。

⑦在 A 类环境的防护设计中有以下几个问题须特别注意:

A.镀锌件局部喷涂或丝印后,经高温烘烤镀锌件钝化膜会失效, 湿热后产生白粉.

B.EMC 屏蔽材料与所接触的金属(铝或镀锌层)都超过了允许的最大电位差(0.4V);电解板(镀锌层)与导电布(镍镀层)间的电位差是 0.9V;铝合金导电氧化与导电布(镍镀层)间的电位差是 0.45V~0.6V;铝合金导电氧化与导电橡胶之间的电位差是 0.6~0.7V。

C.非金属材料的应用不规范

自身长霉的材料;选用胶粘剂不当;散发出有害气体的材料---如某些橡胶中有”硫”;不符合环保等法规要求的有害材料。

D.选择紧固件、镀层材料等时环境适应性控制不当。

B 类环境的防护

B 类环境防护由于对环境剖面的复杂性很难定位,同时又要考虑成本因素,因此是最困难的。所以在军品防护等级上只分二级(B 类和 C 类合为一级防护)。所有对 A 类环境的防护要求,在 B 类环境中都必须满足,同时还有更高的要求。

B 类环境防护的重点是正确选用防护材料和工艺。B 类环境剖面(极端环境)的特点是长时间的湿热环境;湿热+灰尘;湿热+灰尘+盐雾

温湿度不受控的室内;地下室;户外简单遮蔽;一般环境的户外设备,都属于典型的B 类环境。

由于有室外设备, 结构件分为 “Ⅰ”型结构件和 “Ⅱ”型结构件两类,除安装在户外设备的外表及附件外,其它的大多数零部件属于“Ⅱ”型结构件。“Ⅰ”型结构件除奥氏体不锈钢和某些铝阳极化(如微弧氧化)特殊零件外,所有的金属件都须采用有机涂层覆盖。户外 “Ⅰ” 型面的紧固件, 应采用不锈钢(奥氏体)材料会更可靠。

户外设备的涂层,喷粉应采用聚酯系列、不采用环氧系列;喷漆应采用丙稀酸或丙稀酸/聚氨酯体系、有机氟涂料。

户外钢结构件尽量考虑采用热浸锌+喷涂有机涂层防护体系如:底座、承力弯角件、埋地部分等极易腐蚀部分。

室内设备主要考虑在长期湿热环境下的防锈蚀和灰尘+盐雾的极端环境下的防护。

压铸铝件的化学氧化(无色)在湿热环境下会腐蚀成“白粉”状,ADC12 会更严重,有可能应在无需导电部分喷漆。

B 类环境中户外机柜及模块的防护注意事项如下

①暴露在Ⅰ型面的所有构件,应避免积水。尽可能消除缝隙,防止水、灰尘和盐雾的沉积。

②大型机柜密封条的拼接处应在水流的下方,并用室温硫化硅橡胶粘接、腻平。防止渗水。

③结构上应防止门的应力变形,形成缝隙。

④控制屏蔽材料与金属材料的接触腐蚀。

⑤防止机柜内部由于温差而产生凝露。

⑥小型机箱或模块的防水密封衬垫,应采用高抗撕硅橡胶模压成型。不应采用胶条拼接。拼接件经受不住环境老化而失效。

⑦有屏蔽要求,处于Ⅰ型面的模块,应选用模压的双峰导电衬垫,可避免导电胶条对

铝模块的电偶腐蚀。

考虑到 B 类环境的剖面,PCB 应进行敷形保护涂覆。

B 类环境整机设计注意事项如下:

①尽量不用预镀板,如果有局部喷涂(接地或导电)要处理好接触腐蚀及切口边的锈蚀问题。

②重视防尘设计:在 B 类环境的室内设备,良好的防尘设计是保证设备可靠工作的重要条件。防尘网属易损件,应设计成方便更换,易于清理并有详细的操作规程。

③屏蔽材料与金属接触腐蚀的规避,应遵守 0.25V 的规定.

④材料选用:按规范选用。未经试验的或预计有问题的材料,应经试验后优选并制订规范再应用。

C 类环境的防护

C 类环境存在盐雾、盐碱粉尘和有害气体及酸雾、酸雨灯腐蚀介质。C 类环境的典型地区为东南沿海、海岛、舰船;沙漠(盐碱湖)、盐碱湿地及周边;化工厂、皮革厂、矿山、冶炼厂、火电厂周边;海外:东南亚、西亚、中东、印度及加勒比沿海地区。

这一带区域或高温、高湿、高盐雾。昼夜温差大或环境污染严重。处于该区域的通讯电子设备、安装结构件、紧固件、天馈系统属于 C 类环境“Ⅰ”型面。在该环境剖面,金属的腐蚀速度比一般地区高几倍~几十倍。

C 类环境如果用不锈钢,需要选用奥氏体材料,如:1Cr18Ni9;1Cr18Ni9Ti;0Cr18Ni9;0Cr17Ni12Mo2,选用无磁性的奥氏体不锈钢;要求钝化处理,通过中性盐雾试验 48 小时无腐蚀。紧固件须定点供货,每批次应进行盐雾试验检测。

C 类环境对于结构件的形式和安装工艺有如下要求:

①要避免凸出的棱角和尖锐的切边(应打磨成圆角)再进行防护处理。

②安装件的折弯半径应是板厚的 1 倍以上,以避免应力太大而产生应力腐蚀。

③避免缝隙腐蚀;采用连续焊,在焊接部位须喷二道底漆及二道面漆(尽量减少针孔率)。

④安装后的涂漆工艺:

a.当Ⅰ型面上有导电连接部位时,应尽可能设计成永久性连接:即在装配完成后涂覆有机涂层或灌注密封胶。

b. C 类环境中现场安装后,须在所有装配紧固件部位及漆层破损处进行补漆处理。

C 类环境下,所有Ⅰ型面结构件的金属外部棱边应该倒成圆角,以利于获得适当厚度的涂敷层(电镀或热浸锌层、喷粉层或喷漆层的厚度)。金属的锐边上涂层是达不到设计要求的厚度。通常倒圆角半径在 3.18mm 左右.

C 类环境如果用非金属材料,注意事项如下:

①涂料:喷粉选用聚酯料;油漆选用丙稀酸或丙稀酸/聚氨脂。

②密封材料:

橡胶-----硅橡胶、乙丙橡胶、氯丁橡胶。

密封胶-----RTV 硅橡胶。

防水胶带-----EPR。

③塑料:要求耐候性好、耐紫外线及耐低温。如:PC、PET、PVC 等。

C 类环境的防辐射设计注意事项如下:

①暴露在外的所有构件应避免积水,尽可能消除缝隙,防止灰尘,盐雾沉降。

②Ⅰ型表面原则上不允许有裸露金属(包括镀层,不锈钢除外). 应当用有机涂层覆盖,涂层应耐紫外线辐射。

③对大容积构件(如:天线箱体,天线罩,高频箱)应避免气密性设计, 应有通气孔或加有防水透气阀.使腔体内,外压力平衡.否则腔内会积水。

④对有密封要求的模块,密封圈应选用高抗撕硅橡胶制成的”O”形或”D”形圈.不允许密封圈有接缝, 或采用橡胶板裁剪成衬垫,实践证明这是不可靠的。

⑤室外型设备的某些构件,可选用复合材料的模压制品(如 SMC 或玻璃钢)这类材料具有比强度高和耐腐蚀性及批量生产成本低的特点。

⑥黑色金属的重防护:采用热浸锌、(或喷锌、喷铝)工艺,厚度在 50μm~150μm 再喷底漆+二道面漆。用于户外机架、褂梁埋地构件等。

D 类环境的防护

D 类空间环境的特点是上升/再入阶段 高冲击、振动、噪声;暴露于高真空和高辐射下;入轨后,可当成 “A 类环境”

D 类环境的防护需要注意防冲击、防振动。组装电路板时,器件应尽量靠近PCB板底部。如果允许,涂覆层的厚度增加到100~250微米,使器件底部与基板通过涂层连成一体,可增强设备的抗振能力。某些器件重量大于7克,并靠自身引线支撑,例如电容器等。须用RTV硅橡胶进行局部加固。

处于空间环境的电子设备,均需密封结构。必须对微环境中有害气体严格控制。

橡胶件须进行二段硫化工艺。PVC导线内有各类添加助剂、有低分子物逸出,必须严格控制。

硅脂选用SE-4490CV低分子挥发物最低。RTV硅橡胶应在室温下放置48小时后,于 60~65℃烘 6~8小时。

由于空间环境辐射强度比地面强,有机高分子材料应选用耐辐射强的材料。聚稀烃材料如PE、PP、ABS、聚甲醛、聚四氟乙稀等耐辐射性能不良。PC中等。聚砜、聚酰亚胺耐辐射性能好。

苯撑硅橡胶最好。经定量辐射后,其强度下降26%、伸长率下降43%;而其它橡胶强度及伸长率下降在70%以上。

入轨后, 设备处于稳态环境, 可看成是 A 类环境。

三防技术是一项“自上而下”抓的系统工程,要尽量多了解设备的“寿命期环境剖面”,按规范设计,要跟踪已使用的设备“故障”情况,总结经验;不断“滚动修订”完善设计规范;建立并完善“三防体系”,逐步克服设计上的随意性。

8 构设计实例——ATCA 平台结构

ATCA 是 Advanced Telecom Computing Architecture(先进电信计算架构)的缩写。

ATCA 标准,是一项业界倡导的标准,旨在为运营级电信解决方案创建一种新型的板卡(刀片式)和机箱外形规格。ATCA 旨在通过为多种标准交换架构(包括以太网和 PCIExpress)提供支持,满足下一代通信应用的要求,并为制造商提供满足苛刻用户要求的诸多功能。ATCA 提供动态空间,以实现新一代模块化、高性能却经济适用的电信解决方案。

ATCA 由一系列规范组成,包括定义了结构、电源、散热、互联与系统管理的核心规范 PICMG3.0 以及定义了点对点互联协议的 5 个辅助规范组成,包括:3.1 以太和光纤传输;

3.2 InfiniBand 传输;3.3 星形传输;3.4 PCI-Express 传输;3.5 RapidIO 传输。本小节注意介绍结构设计。

ATCA 平台由机箱、刀片式板卡、背板、电源分配系统、散热系统和机箱管理系统组成。

机箱是把整个产品结合成机械整体的主体,需要依靠机箱保证整机的机械结构强度。

ATCA 按型式可以分为直立型机箱与横向型机箱两种类型。直立型机箱为标准的 14 槽位,如下如所示。

横向型机箱因受限于机箱高度,所以视其高度决定槽数的多少。横向型机箱如下图所示。

刀片式板卡可以简单按位置分为前插单板和后插单板。前插单板就是通常说的 ATCA 单板,可以分为业务单板和交换单板。后插单板就是后端转换模块(RTM),为前插单板提供接口扩展。

ATCA 的背板主要分为双星、双双星和全网状互连三种拓扑结构。

双星结构在 ATCA 机框内有两块交换单板,每块交换单板与机框内其他的每一块单板都有一条独立通道互连

双双星结构在机框内有四块交换单板,每块交换单板与机框内其他的每一块单板都有一条独立通道互连。

全网状互联结构机框内的每块单板与其他的每一块单板都有一条独立的通道互连。不需要中心交换结构,每块单板都可以做数据转发和数据处理。具有很大的灵活性,比较适合机框槽位较少的系统。

ATCA 的背板数据传输包括业务平面(交换接口、更新通道)和控制平面(基本接口、

同步时钟接口)。背板连接器的数据传输接口分布如下:

基本接口(Base Interface)可以理解为 ATCA 架构的管理控制平面总线,一般在系统中用来传输控制面信息。支持 10/100/1000 BAST-T 以太网通道

交换单板的 Base Interface 提供以太网通道与其他单板相连,每条通道是以 4 对差分线的形式在背板传输。其他单板有两条通道,分别与两块交换单板相连。

交换接口(Fabric Interface)是 ATCA 架构的业务平面的数据通道,为 ATCA 单板提供高速数据传输。Fabric Interface 提供以太网通道以供机框内单板互连。

Fabric Interface 的每个通道(Channel)由 8 对差分线(4 对接收、4 对发送)构成,每两对差分线(1 对接收,1 对发送)构成一个端口(Port);Fabric Interface 支持 ATCA 架构的多种拓扑结构。Fabric Interface 支持多种传输协议。

更新通路可以理解为相临两块单板之间的专属内部链接通路,提供状态信息共享。例如在热备份系统中提供互锁信号,如备份板在规定时间内收不到主系统有效信号,备份板将接管系统。

同步时钟接口采用冗余总线连接方式,提供 6 对/3 种时钟信号。

机框管理系统由机框管理控制器(ShMC=Shelf Management Controller),智能平台管理接 口( IPMI=Intelligent Platform Management Interface),智 能 平台管 理控制 器

(IPMC=IPM Controller ), 智能平 台管理 总线( IPMB=IPM Bus), 现场置 换单元

(FRU=Field Replaceable Units)和 I²C 总线(Inter-Integrated Circuit)组成。

ATCA 机框管理系统由两个独立互为热备份的 ShMC 和位于各个业务板卡上的 IPMC 组

成。ShMC 是系统管理模块,完成机框设备管理、传感器/事件管理、风扇框/电源框管理、用户管理、IPMI 协议处理、远程维护等功能。

IPMC 位于 ATCA 架构的单板和其他机框组件上,完成其上各种关键硬件资源的监视、控制及管理,如热插拔处理、电源管理、风扇管理等。

IPMB 总线是整个 ATCA 系统的系统管理总线,由两条 I²C 总线组成,通过背板连接器

连接 ShMC 与各单板、配电框、风扇框的 IPMC,完成监控命令的下发和告警信息的上报。

IPMB 总线提供双总线或双星型配置,以冗余架构保证系统可靠性。

ATCA 电源主要是为了满足电信级应用对大功率的需求;单板最大功率可达 200W 以上,供电方式:-48V 电源直接引入单板,在电源供给上采用双冗余电源以防止电源供给异常引发单点故障。

机箱散热系统可以分为 3 种设计方式:

①具有前方进气风扇与后方排气风扇的组合散热系统

②只有前方进气风扇的散热系统

③只有后方排气风扇的散热系统. 。

理论上,第 1 种方式为最理想,一般适用于 12U 以上的机箱。受高度与风扇风量影响第 2 种与第 3 种方式一般适用于 12U 以下的机箱,每种方式各有其优缺点。

从前方风扇进气方式优点如下:

①风扇在正面维修方便;

②系统内为正压,故灰尘不易进入;

③风扇位于进气处,温度相对较低于排气处,风扇寿命较长;

④系统内若着火,前方进气风扇依然能维持正常功能;

相对的,后方风扇排气方式有散热效率较佳和每一槽的风流量较均匀的优点。

在总体方案有些大版本,需要重新定义机箱,产品机箱定义就在总体设计阶段,这时总体设计的工作是繁重而高级的。定义机箱工作量大,而且需要考虑产品的迭代升级,产品持续的竞争力,需要设计者具备全流程视野和战略能力以及技术深度和广度,对技术演进的预判能力。因为工作量大,所以繁重;因为对工作能力要求高,所以高级。定义机箱,首先要做的第一件事情就是定规格,这个规格包含:业务规格、整框规格、单板规格。

①业务规格,这个需要满足客户期望、有市场竞争力、最合理的颗粒度。我记得大学同学刚毕业的时候去烽火通信,去南美市场,销售光通信,当年号称密集光波分复用(DWDM),一根光纤传输 1T 带宽信号,全光通信,远距离传输。结果同学到了厄瓜多尔,一个国家都用不了一根光纤,在那里主要卖“猫”(调试解调器)。

所以业务规格很重要,并不是越大越好。我们当年我们做企业网,一开始没有设计专

门的设备,认为用运营商设备借用到企业网,实现归一化。用运营商架构做企业通信设备,除了几个大银行能接受这么大规格的设备,小公司都没有这样的硬件规格需求。并且由于运营商的软件结构,在企业网也显得臃肿。

②整个机箱的规格,包括的电源、功耗、散热、可靠性的规格,要保证整款满足环境应用要求。

当业务确定之后,需要根据整机的使用场景,确定整机的电源输入的特性,整体功耗的需求,以及散热条件。电源需要考虑一次电源转换为二次电源的能力。散热需要考虑风道是否合理,不同槽位的单板散热的差异,风扇失效模型等等。整机风道如图所示。

PCB设计系列文章

【1】兴趣驱动热爱

【2】硬件工程师要不要自己画PCB

【3】PCB走线应该走多长?

【4】PCB走线应该走多宽?

【5】PCB的内电层

【6】过孔

【7】PCB能不能走锐角和直角?

【8】死铜是否要保留?(PCB孤岛)

【9】焊盘上是否可以打过孔?

【10】PCB材料、FR4到底是指什么材料?

【11】阻焊层,绿油为什么多是绿色

【12】钢网

【13】预布局

【14】PCB布局、布线 的要领

【15】跨分割走线

【16】信号的反射

【17】脏信号

【18】沉金、镀金、喷锡等表面处理工艺

【19】线距

【20】电容的摆放位置

【21】串扰

【22】PCB的飞针测试

【23】FPC概述及仿真

【24】为什么PCB变形弯曲?如何解决?

【25】一文搞懂“特征阻抗”

【26】PCB的叠层设计

【27】高速电路PCB回流路径

【28】PCB设计中电源处理与平面分割

【29】锯齿形的PCB走线——Tabbed routing

【30】PCB的介质损耗角是什么“∠”?

【31】PCB铜箔粗糙度对高速信号的影响

【32】晶振为什么不能放置在PCB边缘?

【33】什么是高速信号?

【34】什么是传输线

【35】预加重、去加重和均衡

【36】如何利用PCB散热

【37】PCB设计中的“stub”

【38】纠结:走线之间的GND保护地线要还是不要?

【39】PCB 覆铜

【40】进行 PCB 设计时应该遵循的规则

【41】PCB叠层设计中的“假八层”

【42】除了带状线、微带线,还有“共面波导”

【43】PCB焊盘设计工艺的相关参数

【44】PCB设计时,板边为什么要打地孔

【45】更容易散热的PCB:铝基板

【46】为什么要把参考平面掏空?

【47】晶振的PCB设计

【48】用EMC思想来设计DC/DC电源的PCB

【49】PCB拐弯,不一定是圆弧走线最好

【50】为什么要把过孔堵上“导电孔塞孔工艺”

【51】电源PCB布局布线要点

【52】PCB板上的Mark点【53】用ADS仿真高速信号跨分割

【54】刚柔板(软硬结合板)

【55】数模混合的PCB设计

【56】PCB设计中电容的摆放

【57】PCB设计中过孔残桩的影响

【58】去耦电容在PCB设计中的布放与走线

【59】PCB设计checklist:结构

【60】PCB设计checklist:电源

【61】PCB设计checklist:布线

【62】PCB设计checklist:高速数字信号

【63】工艺边

【64】PCB设计:金手指

【65】PCB设计:差分线

【66】DDR4的PCB设计及仿真

【67】电路板设计中要考虑的PCB材料特性

【68】什么是好的“PDN”的PCB设计

【69】PCB详细布局、布线设计

【70】USB2.0 PCB布线

【71】反激式开关电源PCB设计要点

【72】PCB设计,焊盘与过孔工艺规范

【73】PCB哪些因素影响损耗

【74】PCB 过孔对散热的影响

【75】如何在PCB设计阶段规避焊接的问题

【76】为什么有时在PCB走线上串个电阻?有什么用?

【77】PCB爆板

【78】PCB设计不好造成的信号完整性问题

【79】PCB设计:绕等长

有没有一本书读后,相当于华为工作十年经验?

128版本,包含下列资料下载:

电子产品的结构设计

目录

1 电子产品结构设计基础知识

2 电子产品的电气连接方式

3 抗振设计

4 整机绝缘材料和布线

5 三防设计

6 防水设计

7、环保设计

8、设计实例

1 电子产品结构设计基础知识

普通电子产品的结构设计,是相对比较简单的一种机械设计,主要任务是为电路提供一个保护外壳或安装支撑平台,一般没有运动机构部分,不必考虑磨损和应力,材料的选择和工艺处理也比较简单。但电子产品有自身的特殊要求:电磁屏蔽、便于操作、容易安装与拆卸、使外形具有商品的时代感等。此外,对于不同的应用环境,还有不同的要求:抗振动、冲击,热设计,防水设计,防爆设计,防腐蚀设计,低气压。

在电子产品中,安装了电子元器件及机械零部件,使产品成为一个整体,称之为电子产品的结构系统。这种结构系统包括:机箱、机架、机柜结构。电子产品的整机在结构上通常由组装好的印制电路板、接插件、底板和机箱外壳等构成。

电子产品的结构设计,是把构成产品的各个部分有机的结合起来的过程,是实现电路功能指标、完成工作原理、组成完整电子装置的过程。整个过程包括元材料的选用、模块及印制电路板的尺寸设计、模块间连接安装、产品的外形设计、抗干扰措施及可维修等等方面。

1)结构设计的要求

①保证产品技术指标的实现(工作可靠、性能稳定)

②良好的结构工艺性(适合批量生产或自动化生产)

③贯彻执行标准化(零件、部件、模块、插箱、机柜等)

④体积小、重量轻、造型美观大方

⑤便于设备的操纵、安装与维修

2)电子产品结构工艺要求

①结构装配工艺应具有相对的独立性。(模块化) ②机械结构装配应有可调节环节,以保证装配精度。(可装配性)

③机械结构装配中所采用的连接结构,应保证安装方便和连接可靠。(结构牢固性)

④机械结构装配应便于产品的调整与维修。(维修可到达)

⑤线束的固定和安装要有利于组织生产,并使整机装配整齐美观。(生产便利)

⑥要合理使用紧固零件。

⑦提高产品耐冲击,振动的措施。

⑧应保证线路连接的可靠性。

⑨操用调谐机构应能精确、灵活和匀滑地工作,人工操作手感要好。

3)结构设计流程

①总体规划(如:外形、材料、工艺)、确定方案(多种方案比较)

②理论计算(散热、重量、重心、尺寸等)

③模拟与试验 (需要的话)

④二维与三维 CAD (用三维可实现装配的模拟)

⑤注意优化、可靠性、性价比,尽量采用标准化、通用化零部件

4)结构设计的一般方法

①熟悉设备的技术指标和使用条件

②确定结构方案

③确定机壳的尺寸和所用的材料

④进行总体布局以机箱设计为例,下图是机箱设计的过程和方法。

随着电子产品范围的不断扩大,其功能日趋复杂,结果是产品的元器件数目、体积、重量、耗电量和成本增加了,而可靠性却在下降。解决这个问题的主要方法就是在产品中大量采用集成电路,采用集成度更高的芯片和模组,这就导致电子设备结构的变革,使产品电路板的结构微型化,产品结构向模块化和归一化方向发展。最典型的代表就是电脑和手机,功能越来越强大、体积越做越小,模块化设计的功能组件越来越多。不同手机厂家的屏幕、电池和摄像头等组件,都采用相同的模组。这样设计一方面可以降低整机设计的难度,另外一方面可以降低制造成本。

2 电子产品的电气连接方式

电子产品组装部件间的电气连接,主要采用印制导线连接、导线、电缆以及其它电导体等方式进行连接。

1)导线

导线是能够导电的金属线,是电能和电磁信号的传输载体。可分成裸线、电磁线、绝缘电线电缆和射频电缆四类 。裸线是指没有绝缘层的单股或多股导线,大部分作为电线电缆的线芯,少部分直接用在电子产品中连接电路。

电磁线是指有绝缘层的导线,绝缘方式有表面涂漆或外缠纱、丝、薄膜等,一般用来绕制电感类产品的绕组,所以也叫做绕组线、漆包线。

绝缘电线电缆是指包括固定敷设电线、绝缘软电线和屏蔽线,用作电子产品的电气连接。

射频电缆是指包括用在电信系统中的电信电缆和高频电缆。有软性、半钢性、钢性。

导线一般由导体芯线和绝缘体外皮组成。导体芯线一般采用导电性能较好的铜线和铝线。纯铜线的表面很容易氧化,一般导线是在铜线表面镀耐氧化金属,比如:普通导线镀锡能提高可焊性;镀银能提高电性能,可以用作高频导线;镀镍能提高耐热性能,可以用作耐热导线。

描述导线线芯粗细有线号和线径两种方式,线号制是按导线的粗细排列成一定号码 ,线号越大,其线径越小,英、美等国家采用线号制。线径制是用导线直径的毫米(mm)数表示线规,中国采用线径制。

绝缘外皮除了电气绝缘外,还有增强导线机械强度、保护导线不受外界环境腐蚀的作用。导线绝缘外皮的材料主要有:塑料类(聚氯乙烯、聚四氟乙烯等)、橡胶类、纤维类(棉、化纤等)、涂料类(聚脂、聚乙烯漆)。常见的塑料导线、橡皮导线、纱包线、漆包线等。不同种类的导线如下图所示。

2)电磁线

具有绝缘层的导电金属线,用来绕制电工电子产品的线圈或绕组,作用是实现电能和磁能转换。

3)带状线(排线)

导线根数有 8、12、16、20、24、28、32、37、40 线等规格,如下图所示。

4)电源软导线

电源软导线选型时有以下三个注意事项:

①选择电源线的载流量,要比机壳内导线的安全系数大。

②要考虑气候的变化,应该能经受弯曲和移动。

③要有足够的机械强度。

RVB、RVS 适合用作电源软导线。

RVB 全称两芯平型铜芯聚乙烯绝缘软电线,没有护套结构扁形软线,俗称红黑(平行) 线。常用作内部安装用线,比如家用电器、小型电动工具、仪器、仪表及动力照明连接用电等。

RVS 全称铜芯聚氯乙烯绝缘绞型连接用软电线、对绞多股软线,简称双绞线,俗称“花线”,现阶段此种线材多用于消防系统,也叫“消防线”。字母 S 代表双绞线,字母 R 代表软线, 字母 V 代表聚氯乙烯(绝缘体)。

RVS 双绞线的用途:

①多用于消防火灾自动报警系统的探测器线路

②适用于家用电器、小型电动工具、仪器仪表及动力照明用线。双白芯用于直接接灯头线:红蓝芯用于消防、报警等;红白芯用于广播、电话线;红黑芯用于广播线。

③用于连接功放与音响设备、广播系统传输经功放机放大处理的音频信号。

RVS 与 RVB 的区别:RVB 为平行软线,RVS 为双绞软线。

5)同轴电缆与高频馈线

阻抗与频率无关、具有一定特性阻抗的导线。但要注意频率衰减和通过功率。

6)高压电缆

高压电缆一般采用绝缘耐压性能好的聚乙烯或阻燃性聚乙烯作为绝缘层,而且耐压越高,绝缘层要求就越厚。

7)网络连接线——双绞线

计算机网络通讯中,由于工作频率较高,信号电平较低,通常采用抗电磁干扰能力较强的双绞线作为各种设备之间的连接馈线。

双绞线有 EIA/TIA 568B 标准和 EIA/TIA 568A 标准两种接法,如下图所示。

8)FFC 扁平排线

FFC 扁平排线如下图所示

FFC的主要特点是:

①制造微型化、小巧、高密集成;

②节省空间;

③简化配线程序,连线简单;

④节省人力成本;

⑤柔性优良、应用灵活、可折叠。

FFC 主要用于打印机、扫描仪、音响、MP3、影碟机、数码相机、摄影机、传真机、

复印机、LCD-TV、移动电话、写真机等领域的信号传输及内部配线。

3 抗振设计

为什么要做抗振设计

一旦产品过了质保期,基本就进入了“偶然失效期”,这个阶段产品发生故障的概率进入比较低的阶段。那么这个阶段,产品一般在稳定使用,也不会出现搬运,高低温(室内设备)的考验。通过下图,可以看出,电子设备的故障由于环境应力的因素比重。

随机振动,我们可以看到其在失效原因中排在非常靠前的位置。

电子设备在运输使用过程中,会受到各种机械力的干扰,有周期性的振动,也有非周期性干扰,还有做非直线运动时受到的加速度和无规则运动对设备产生的随机振动干扰。这些恶劣的机械环境都可能造成伤害,其中最大的伤害就是振动和冲击。

由于电子设备内部电子元器件的种类和数量都比较多,许多元器件承受的机械环境的能力都较弱,因此机械作用力而引起设备损坏和故障率也很高。故在进行电子设备的结构设计时,因根据使用场合,了解环境条件对设备的影响。采用针对性的措施,以低成本的方式解决伤害问题。

结构抗振设计

1、结构设计时应该提高结构刚性:

a)框架结构应尽量采用三角形稳定结构;

b)避免在大面积的支撑结构上连续开孔

c)竟可能采用焊接、铸造结构,在使用螺栓连接的场合,应具备足够的紧固力并有防松脱措施。

d)设备内部的各个组件的刚度应该与整体保持一致,薄弱环节需要做加固处理。

2、避免共振

a)当振动源的激励频率很低的时候,应增强设备结构的刚性,提高设备及元器件的固有频率和振动源激励频率的比值,使得隔振系数接近于1,以防止发生共振。

隔振系数:

根据激振源的不同,隔振可分为两类。对于本身是振源的设备,为了减少它对周围机器、仪器和建筑物的影响,将它与支承隔离开,以便减小传给支承上的不平衡惯性力,称为积极隔振,又称主动隔振。水泵、发动机、锻锤机械等的隔振就属此类。积极隔振系数ηz表示积极隔振效果;它等于隔振后传到地基上的力除以未隔振时传到支承上去的力。对于振源来自支承振动的情况,为了减少外界振动传到系统中来,把系统安装在一个隔振的台座上,使之与地基隔离,这种措施称为消极隔振,又称被动隔振。车辆的乘座、精密仪器的安装、环境运输的包装、舰艇上导弹发射架的隔振等都属此类。消极隔振系数ηb表示消极隔振效果,它等于隔振后机器设备的振幅除以支承运动的振幅。隔振系数小表示隔振效果好。两类隔振系数的计算公式是相同的。

对于单自由度隔振系统,

式中η为隔振系数;

λ=

,ωj为激励频率,ωn为隔振系统固有频率;c为粘性阻尼系数,cc为临界阻尼系数。

隔振系数公式可用图1中的曲线表示。从图上可以看出:

①只有当频率比λ> 时,才有隔振效果,且随着λ增加,隔振效果也逐渐增大,实用中取λ=2.5〜5;

②增大阻尼可以减小机器在起动和停车过程中经过共振区(见线性振动)的振幅,但在时,阻尼的增加反而减小隔振效果;

③常用的隔振器材由于阻尼系数不大,在λ=2.5〜5范围内计算隔振系数时,可按无阻尼情况考虑。

隔振系数公式依据下列假设:机器或设备是刚体,地基是无限大的刚体;隔振器由无质量的线性弹簧和无质量的粘性阻尼器组成。实际情况和假设有出入,故隔振系数的实际公式也同理论公式有出入。近代研究发现隔振器在用于低频激振时很有效,但用在高频时效果不够理想。当激振力频率增大时,隔振系数的曲线中出现了一系列峰值(图2)。主要原因是高频振动在结构中以弹性波形式传播,激起了结构介质的波动效应。为了改善高频时的隔振效果,除采用波动效应小的橡胶弹簧代替金属弹簧外,目前还发展了双质量隔振系统,并已用于舰船等设备中。

图2考虑波动效应后的隔振系数曲线

有时被隔振的机械或仪器可能受到几个方面的激励(见振动),此时隔振设计应按多自由度系统进行,即应考虑被隔振物体的直线振动、扭转振动以及它们之间的耦合振动。

b)隔振设计要点

隔振设计的要点是:首先要对环境振源进行调査,包括振源类别、量级、方向和频率范围等项目;其次根据隔振体本身的重量和隔振要求,按频率比λ≥2.5〜5进行计算,选择减振器型式、装配方式和参量(阻尼系数、刚度);最后用仪器测试校核隔振效果,验算隔振系数。

常用的隔振器材有天然或人造橡胶制品、金属弹簧制品、不锈钢丝网制品以及近十年出现的多种高分子化合物的粘弹性材料制品。这些器材既可用来隔振,又能起抗冲、降噪作用。

把机械安装在合适的弹性装置上以隔离机械振动传播的措施。依振源的不同有两种性质不同的隔振措施(图1)。如果机械本身是振源,应使它与支承隔离,以减少对周围的影响,这称为主动隔振。如振源来自支承的运动,为减少外界振动对机械的影响,须使支承与机械隔离,这称为被动隔振。

隔振系数η表示隔振的效果。主动隔振系数ηz与ηb概念不同,但计算公式相同。其值越小隔振的效果越好。对于单自由度隔振系统式中λ=ωj/ωn为频率比,即激励频率ωj与隔振系统固有频率ωn之比,ζ为阻尼比。根据隔振系数曲线(图2):①无论阻尼大小,只有当频率比时才有隔振效果,而后随λ的增加隔振效果逐渐增加,实用中取λ=2.5~5已经足够;②增大阻尼可减小机械在起动和停车过程中经过共振区时的振幅,但在后,增大阻尼反而减小隔振效果;③由于一般隔振材料阻尼系数不大,在λ=2.5~5范围内计算隔振系数时,可按无阻尼情况考虑。具体的隔振措施有设置弹性支撑物和防振沟等。对于隔振效果要求很高的精密仪器,一般采用多层隔板;对于多向激励、多种响应的复杂隔振系统,则要考虑直线振动、扭转振动和它们之间的耦合,隔振系数须按多自由度模型进行计算。当频率比λ变化较大时,如宽频带激励和重量变化大的机械,采用非线性隔振系统可以收到较好的隔振效果。在隔振设计中,根据振源振动量的大小、方向和频率,以及被隔振机械的尺寸、重量和隔振要求,确定隔振装置的参数和结构型式。

隔振材料选用

隔离振动所用的材料一般有软木、毛毡、泡沫乳胶、橡胶、金属弹簧和空气弹簧等。相应地也形成了海绵隔振垫、橡胶隔振器、金属弹簧隔振器、空气弹簧隔振器等。空气弹簧隔振器固有频率接近1Hz,是一种比较理想的高效能隔振器,但辅助系统太复杂,仅用在有特殊要求的精密仪器上。目前在电子设备中广泛使用的是橡胶隔振器和金属隔振器。

橡胶隔振器是以金属作为支撑骨架,并与橡胶在压模内硫化而成的。它具有较大阻尼(对高频振动的能量吸收有特效)、造价低、且制造比较简单方便,所以应用比较广泛,在早期的舰艇上应用非常普遍。但橡胶本身的性质受温度、光照、油性环境等影响比较大,容易老化,现在已经逐渐被金属隔振器所取代。采用三维库仑阻尼和粘性复合阻尼的新型橡胶隔振器改变了结构,能在低频有效地抑制共振,当振动频率高于12-15Hz时具有良好的隔离效果,对冲击衰减也很明显,已经在声呐、雷达、车载电台上广泛采用,但由于要给橡胶件以变形空间,所以尺寸较大。

金属隔振器对环境条件反应不敏感,不易老化、性能稳定,设计和计算比橡胶的容易,但它的阻尼过小,容易传递高频振动,在经过共振区时,设备会产生过大的振幅,有时需要另加阻尼器或在隔振器中附加零件作为摩擦元件形成阻尼。电子设备中经常采用的GS型全金属钢丝绳隔振器,如图2所示,它是利用多股钢丝绳之间相对滑移而产生的非线性干摩擦滞后,来大量吸收和耗散系统运动能量,以改善系统运行的动态平稳性,保护设备安全工作的。这种隔振器尺寸较小,在比较狭小的场合内比较合适,例如航空、航天领域的电子设备中,在舰艇上也大量应用。

在电子设备中另一种常用的金属隔振器是GWF型无谐振峰隔振器,其典型结构如图3。它采用刚度拟合技术和干摩擦阻尼技术来实现低固有频率、无共振放大、并可兼顾缓冲的结构设计,调节螺旋簧可以调节隔振器的载荷,调节阻尼簧可以调节阻尼特性,因而可实现在三个座标轴方向全频带(例如0~5000Hz)内无谐振峰。

橡胶隔振器:承载能力低,阻尼大(阻尼系数0.15~0.3)有蠕变效应,可做成各种形状。

空气弹簧隔振器:刚度由压缩空气的内能决定。阻尼系数0.15~0.3

金属弹簧隔振器:承载能力高,变形量大,刚度小(阻尼系数0.01),水平刚度较竖直刚度小,易晃动。

泡沫橡胶和泡沫塑料:弹性强,刚度小,阻尼系数为0.1~0.15,固有频率可设计的很低,承载能力低,性能不稳定,易老化

c)尽量提高设备的固有振动频率,电子设备机柜的固有频率应为最高强迫频率的两倍,电子组件因为机柜的两倍。如舰船和潜水艇的振动频率一般的振动频率为12~33Hz,机柜固有振动频率应该不低于60Hz,电子元器件的固有频率应该高于120Hz。

电路抗振设计

1、选择剥离强度高的基板材料

PCB基板剥离强度测试:

2、PCB采用大面积的焊盘和导电图形。

3、对元器件采用局部或者整体加固。

4、必要时PCB加金属框架

5、电阻器安装应该考虑由于温升导致的膨胀,电阻器好固定电容器的重量大于15g时,不得用引线作为支撑,引出线的元器件的端部到焊点的距离不得超过25mm。

6、凡是依靠自身引线支撑的元器件,轴向引线元器件每根引线承载重量不得大于7g,径向引线元器件每根引线承载重量大于3.5g时,需要加固;单体重量大于31g时,需要加固。并且注明加固方法:粘固、绑扎。

7、冲击振动环境恶劣的情况下,PCB设计面积尺寸不宜过大。否则,采用结构加固措施。

8、加固材料

a)加固材料一般采用单组分硅橡胶,特殊要求元器件采用透明环氧树脂加固。

透明环氧树脂是双组份的胶凝材料,按体积比:A组比B组=2.5ML比1ML即A组25克,B组10克;按质量A组比B组=3g比1g。使用时两组混合后一定要顺同一个方向搅拌均匀到位。一般透明树脂都自带消泡剂,如气温过低或滴加后产品有气泡需抽真空,进行排气。抽真空时最好加防护罩,避免污染,全生产过程注意不要弄脏产品。偏大的产品会有明显的体积收缩。一般25摄氏度60-80分钟固化。

b)加固材料的相容性控制:硅橡胶加固时,不能选用聚氨酯类图层,硅橡胶与这类图层附着力差,容易剥落;应选用邮寄硅类图层。

c)加固时,产品黏附部分呈水平状态,防止平稳;加固材料低于引线与PCB连接处,或者元器件与PCB之间的位置。固化,形成支撑物24h后,以60度烘烤半小时,出去挥发性副产物,实现气体排出,结构结实。

4 整机绝缘材料和布线

1、绝缘材料选择绝缘材料时,主要考虑以下几方面的因素:

① 抗电强度,每毫米厚度的材料所能承受的电压。

②机械强度,每平方厘米所能承受的拉力。

③ 耐热等级,绝缘材料允许工作的最高工作温度。

几种常见绝缘材料的耐热等级如下:

2、整机布线和扎线工艺配线使用不同颜色的导线,便于区分电路的性质和功能以及减少接线的错误。

布线遵循以下原则:

①应减小电路分布参数。

②避免相互干扰和寄生耦合。

③尽量消除地线的影响。

④应满足装配工艺的要求。

5 整机的环境(自然)适应性设计——三防设计

三防设计的的定义:根据电子设备寿命期环境剖面及三防等级要求,对其系统设备和某

些特定单元及部件采取的防湿热,防霉菌,防盐雾腐蚀的设计思想,设计方法和防护工艺措施。

三防设计的原则:①将三防设计纳入到系统和设备的功能设计中,避免单纯的工艺防护和事后补救措施.

②按规范设计,避免设计的随意性。

③三防新设计,新工艺,新材料必须经试验、评审并制定典型工艺规范。

④设备及关键部件的三防性能,须按军标中有关规定进行试验,以满足必需的环境适应性要求.。

⑤跟踪设备在(使用)寿命期内所出现的三防问题。

1、环境条件分类

1)按自然气候分:如湿热、干热、暖温、寒温、寒冷……

2)按产品所处状态:如运输、贮存、使用等;

3)按照产品使用场合:室内、室外、舰船、车载、机载……

4)按环境因素的属性:如气候、机械、生物、电磁、特殊介质… 第四种分类法是 70 年代后期国际电工委员会推荐的分类法,适合于电工、电子产品。

2、环境(自然)适应性相关术语

1)寿命期环境剖面(Life cycle environment pro)

LCEP 用以表征设备在整个寿命期内会暴露于其中的环境或环境的综合,LCEP 应包括以下内容:

①从设备出厂验收、运输、贮存、使用、维修直到报废所遇到的环境应力 的综合;

②每个寿命期阶段的环境条件相对和绝对限期出现的次数及频度的可能性。

③LCEP 是设备制造商在设计前应了解的信息,包括:

A使用或部署的地域;

B设备要安装、存储或运输的平台;

C有关相同或类似的设备在此平台环境条件下应用状况。

LCEP 应由设备制造商的三防专家制定,是设备三防设计和环境试验剪裁的主要依据,它对要研制的设备在真实环境下的性能和幸存性方面的设计提供依据。它是个动态文件,一旦得到新的信息,它它应当定期修订更新。LCEP 应在设备的设计规格书中环境要求部分出现。

2)平台环境(Platform environment)

设备由于被连接到或装载于某一平台上后而经受的环境条件。平台环境是由此平台和任何环境控制系统诱发或强迫作用造成的结果。

3)诱发环境(Induced environment)

主要是指人为的或设备产生的某一局部环境条件,也指自然环境强迫作用和设备的物理化学特性综合影响造成的任何内部条件。

4)环境适应性(Environmental adaptability)

电子设备、整机、分机、元器件以及材料在预期的环境中实现其功能的能力。

3、环境类型和三防等级

对环境条件进行分类,就有了环境类型。但环境类型种类繁多,至今分类方法不一。但在三防技术领域,环境条件根据设备的使用场所和实际承受环境来划分是比较实用和直观的,可分为 A、B、C、D 四种三防环境类型。从 A 类环境到 D 类环境,环境条件越来越恶劣。

1)A 类环境

A类环境指温度和湿度受控的环境。比如有空调的地面室内和车载方舱环境。A 类环境往往被称为较好的环境类型。

2)B 类环境

B类环境指温度和湿度不受控的地面室内环境以及户外具有遮蔽的环境。在 B 类环境下,相对湿度偶尔能够达到 100%,设备内部可能凝露。B 类环境虽然温湿度不受控但整体环境并不十分恶劣。

3)C 类环境

C类环境指气候腐蚀和污染较严重的恶劣环境。如海洋、海岛及距离海岸直线距离 37公里区域的环境、海上舰船环境、盐碱地及其周边 37 公里范围内区域的环境、释放有害物质(主要是酸、碱、盐、二氧化硫和硫化氢等)的工厂及其周边 3 公里范围区域的环境。

4)D 类环境

D类环境专指空间环境。航天器在空间飞行过程中,影响设备工作的全部外界条件总和,包括自然的、人为的或其它诱导条件。空间环境极其恶劣,近真空、微重力、高辐射和原子氧腐蚀是其最显著的特点。

另外,对于设备的结构件,可分为 I 型表面和Ⅱ型表面。

I 型(暴露)表面

I 型表面,专用于设备的结构件,指设备处于工作或行进状态时暴露于自然环境的表面,

或虽然未暴露于自然环境但能够受到各种气候因素直接作用的表面。这里的气候因素包括: 极端温度、极端湿度、雨、雪、含盐大气、工业大气、日光直接照射、尘埃和风砂等。例如,电子方舱的外表面就属于 I 型表面;户外天馈系统的外表面均属 I 型表面。

Ⅱ型(遮蔽)表面

Ⅱ型表面,专用于设备的结构件,指设备工作时不暴露于自然环境,并且不会受到雨、

雪等直接作用和日光直接照晒的表面。例如,电子方舱的内表面以及方舱内电子设备的所有表面都属于Ⅱ型表面。

相应的,处于 I 型表面的结构件称为 I 型结构件;处于Ⅱ型表面的结构件称为Ⅱ型结构件。

三防等级分一级和二级,一级防护针对有抗恶劣环境设计要求的电子设备。二级防护针对在良好环境下工作的电子设备。

在分析设备的三防等级时,需考虑下列因素:

A.电子设备的服务期限一般规定为 15 年,考虑到技术的飞速发展和设备快速更新的需求以及费用成本的因素,通常按 10 年的设备寿命采取三防设计措施:

B.设备在寿命期环境面的条件下能够可靠正常地工作

C.于成本原因的考虑,一般不按寿命期环境条件的极值进行三防设计,而按综合条件折中设计这样既可满足技术实现的可行性,又可满足一般恶劣环境条件的广泛适用性。

在最终确定设备的三防等级时,需考虑下列因素:

1)三防等级是根据设备的实际寿命期环境剖面确定的。因此同一种功能和性能的设备安装使用在不同的平台或不同的地区时,其防护等级可以不同;

2)在某些情况下,可以用一级防护代替二级防护,而不允许用二级防护代替一级防护;

3)任何设备在研制初期,必须确定三防等级。

一般来说,B 类、C 类和 D 类环境以及结构件的 I 型表面均应采用一级防护;A 类环境及结构件的Ⅱ型表面一般采用二级防护。

4、环境因素及其影响

环境因素包括温度、湿度、粉尘、盐雾、游离腐蚀性气体 ( SO2 H2S SO3- )、霉菌、昆虫和啮齿类动物、太阳辐射。

1)温度的影响

A. 正面影响,高温对驱潮湿有利,并可防止凝露及露点的产生。

2)负面影响,当设备工作时会产生热量,机柜内部气压升高而气体外溢。而不工作时气温下降,则外部湿气及污染物会进入机柜内。

2)湿度的影响

①设备和工程材料腐蚀过程中, 水是主要的介质。

②当大气中 RH<20 %时,几乎所有腐蚀现象都停止. 因此防潮是三防中最重要的一环。

③当 RH 达到 60 % 时, 设备表面层会形成 2~4 个水分子厚的水膜.当有污染物溶入时, 会有化学反应产生。

④当 RH 达到 80 % 时, 会有 5~20 个分子厚的水膜, 各种分子都可自由活动

⑤当有碳元素存在,可能产生电化学反应.

⑥临界湿度` (Critical R·H )-----一种物质明显吸收水份的湿度。例如:

a.氯化钠:当在 20℃ 时,CRH 为 75 %

b.铁或钢:当在 20℃ 时,CRH 为 65 % c.锌合金:当在 20℃ 时,CRH 为 70 %

水分子很小,足以能穿透某些高分子材料的网状分子间隙而进入内部或通过涂层的针孔而达到底层金属产生腐蚀。

3)潮湿(冷凝)的影响

对电子设备而言,潮湿是以三种形式存在:雨水,冷凝和水汽。水是电解质,能溶解大量的腐蚀性离子对金属产生腐蚀。当设备的某一处的温度低于“露点”(温度)时,该处结构件或 PCB 的表面会有凝露产生。

影响电路板的主要是凝露和灰尘,当凝露的水分蒸发后,污染物就会以一圈的形式残留在电路板上,其中硫酸盐占的比例为 25~60 %,这一圈将是吸附潮湿,腐蚀 PCB 及器件的源头。潮湿同时是酶菌、盐雾的载体。

4)潮湿(湿热)的影响

A.破坏防护渡层,加速电化学腐蚀;

B.结构件锈蚀,影响外观及功能;

C.对电路板(PCBA)可产生电流泄漏、信号串扰、枝晶生长、导线断开;

D.绝缘材料受潮使绝缘电阻和耐压水平下降,造成短路、爬电、飞弧甚至于火灾。

E.射频接口对潮湿更敏感;

F.微波器件功率下降,甚至于失效;

G.EMC 衬垫/铝合金产生电化学腐蚀而失效。

4)粉尘的影响

粗粉尘是直径在 2.5~15 微米的不规则颗粒, 一般不会引起电弧等问题,但会影响连接器的接触.

细尘是直径小于 2.5 微米的不规则颗粒, 细尘落在 PCB(单板)上有一定的附着力,须通过防静电刷才可除去。细尘的腐蚀性很大,尤其是当含有腐蚀性的酸、碱、盐时,当 RH 大于 60%时,能透过阻焊膜或敷形涂层将铜导线腐蚀断开。

粉尘+盐雾+湿热对 PCB 的腐蚀最大。C 类环境最容易发生这类腐蚀问题。

粉尘的防护:

①采用密封或半密封结构设计

②定期更换设备的防尘网

③定期清洁处理设备

4)盐雾的影响

盐雾的形成:盐雾是海浪、潮汐及大气环流(季风)气压、日照等自然因素造成,会随风飘落至内陆,其浓度随离海岸距离而递减,通常离海岸 1Km 处为岸边的 1 % (但台风期会吹向更远)。

盐雾的危害性:使金属结构件镀层破坏;加速电化学腐蚀速度导致金属导线断裂、元器件失效。

另外还有类似的腐蚀源,操作过程中需要注意:

①手汗中有盐、尿素、乳酸等化学物质,对电子设备回产生与盐雾同样的腐蚀作用,因此在装配或使用过程中应戴手套,不可裸手触摸镀层。

②焊剂中有卤素及酸性物,应进行清洗,并控制其残留浓度。

5)有害气体的影响

大气中污染物存在的形式:

①以气体形式,如 H2S SO2 O3 CO NH3

②悬浮的有机酸和无机酸;

③离子悬浮棵粒;这三种形态都依赖于潮湿才能起腐蚀作用。

局部微环境的有害气体:

①橡胶、塑料、油漆、PVC 导线、包装材料释放的有害气体;

②有害气体:H2S SO2 乙酸、甲醛、有机气氛、挥发性有机硅类气氛等。

③RTV 硅橡胶固化时释放的有害气体——在密封机箱内, 禁用双组份缩合型硅橡胶;慎用 RTV 单组份硅橡胶。有害气体的危害:

①银层变色

H2S、SO2 及其它含硫气氛在潮湿和紫外线作用下使镀银件产生化学反应生成 Ag2S。

②加速银离子迁移

在潮湿和有电位差的条件下,银离子会发生迁移,而 H2S、SO2 会加速其迁移,结果是厚膜电路引线间短路而造成灾难性后果。

③镀层腐蚀

阴极镀层:在潮湿条件下通过孔隙腐蚀底层金属;在电路板有电位差情况下会产生枝晶生长、造成短路、电弧和潜在的失火源。

阳极镀层:对镀锌等阳极镀层会破坏钝化膜从而加速腐蚀。

④贵金属触点“中毒”

6)霉菌的影响 霉菌的危害:

①霉菌吞噬和繁殖使有机材料绝缘性下降, 损坏而失效。

②霉菌的代谢产物是有机酸, 影响绝缘性及抗电强度而产生电弧。

③长霉表面影响外观。

霉菌的防范:

①尽量选用不长霉的材料;

②如必须加防霉剂需考虑其它因素。

7)昆虫、噬齿动物(鼠害)的影响

①啃噬电缆,破坏结构,破坏绝缘.

②垫窝引起短路.

③鼠尿引起腐蚀.

在实际案例中, 由鼠害导致的设备失效比想象的要多。

8)太阳辐射影响

①光老化是对户外产品中非金属材料的重要试验项目, 很多材料(如橡胶、塑料)在户外会因紫外线、臭氧作用而降解、失效。

②实验方法大气暴露试验:真实、简单、环境多样性、但试验周期长。人工加速试验:快速、与大气暴露试验有较好的对应关系。

③加速实验

材料:紫外线 ASTM G53 使用 UVB310nm 4h/60℃;4h/50℃ 共 1000h。臭 氧 ASTM D518 暴露 70 小时。

试样:

氙 灯 GB 12527—90 1006 h

臭 氧 GB 12527—90 70 h

合格判据:不降解、无龟裂、强度变化±30 %

6 防水设计

早年的防水手机,大多是被动式防水手机。手机多采用加保护塞的方式来防水,由此造成了手机在厚度以及重量上皆不尽人意。最重要的是,随着时间的推移,手机上的防水塞将逐渐老化,最后导致防水失效,防水性能无法得到保证。

世界上大多数人经常使用的拥有防水防尘技术的手机应该数三星为第一,手机已经达到了ip68的程度, 6为防尘等级,8为防水等级,这些都应用在了三星的s系列和NOTE系列,大大的减少了三星的受损几率,多人都以为防水防尘仅仅只是防止接触水和灰尘而已,但事实上绝非仅仅如此,接下来我们就根据三星s49来了解一下这个防水防尘的功能,

S9并不是整个机身封闭的,它拥有至少五六个孔,耳机、充电、卡槽等,而且像很多手机按键,例如电源键,音量键等也都是与手机内部的许多重要元件相连,那么在这种多孔,按键又多与元件相连,它是怎么做到防水的?首先,我们需要从按键、听筒、扬声器、耳机孔、充电孔和sim卡槽6个方面来分别探究一下新高标准的防水机制。

首先来看SIM卡槽,虽然说这个卡槽在手机的整体地位中非常重要。但是它的防水却十分的简单,只需要在卡槽边上垫上一圈防水硅垫就可以了,怎么样,是不是非常的简单?而这个卡槽的防水还可以通过其它方法来解决,除了这种在外部添加防水的硅胶垫以外,其它的都需要从它的手机内部出发,稍微有一点点麻烦。而至于在手机按键处防水。也是比较简单的,我说是一般的,别的品牌的手机,它们往往会采用直接挤压锅仔片,但是三星的防水一直都是行业里的行家,所以说它采取了添加一层防水橡胶膜。简单又效果更好。

而至于听筒和扬声器这一类东西的防水是在扬声器内部与外部开孔之间存在一层过滤网,以及该网的周边是由一圈防水硅胶组成,过滤网是为了让空气自由流通使声音足以传递,但是又能够防止外部的水进入内部,声音不能在真空中传播的原理,大家应该都清楚,而且自然环境下的水,往往做不到科研中的水,那样达成小分子结构,而大多数都是以分子团为基准,因此这个过滤网它的孔径只要比这个小就可以了,所以说它的直径介于两者之间就能够保证空气流通而阻止水流进入。但是可不要以为过滤网是万能的,否则又怎么会加一层防水橡胶圈呢?水压还是会导致水穿过过滤网?但是万一水压过大,水还是可以透过滤网,因此橡胶圈的存在可以防止水进入手机内部。就算是进水了,也只是进入扬声器里面,并不会给手机造成更大的伤害。

而至于充电孔的防水,则更加简单了,因为充电孔本身不与手机内部连接,所以说即便进水了也无所谓,需要考虑到设计师,如何让进水以后水顺利排出?毕竟水如果残留在金属元件的内部,而且自然界的水杂质很多,很容易腐蚀一些电子部件,到时候充电的地方没用了,这个手机不也就报废了吗?在三星的设计之中,它们采用了特殊的涂料gore Tex,这种涂料可以有效地避免水残留在手机内部。

最后就是三星防水设计中最难的一点,那就是耳机孔了,毕竟在华为手机mate20系列就无法处理这个问题,它们直接取消了3.5mm的耳机孔,而三星却成功保留了,首先就是在耳机孔涂上防水的特殊涂料,其次加上了一圈橡胶圈,防止水从缝隙进入。毕竟耳机孔其实也是一个不接触内部的部分,所以同样只要防止水渗漏和遗留就可以了。

防水手机发展史上的几位“奠基者”

爱立信R250 PRO

早在1999年,爱立信推出了全球首款防水手机——爱立信R250 PRO,该机采用镁金属机身设计,缝隙中加入橡胶处理,此外还对诸多细节做了特殊处理,保证了该机的防水性能,该机成为了后来防水手机的模仿对象。

摩托罗拉Defy

进入智能手机时代,摩托罗拉Defy的成功为智能手机防水带来了可行性。值得注意的是,厚重刻板的三防手机显然得不到用户的“厚爱”,在2012年,索尼移动将防尘防水功能列入到手机设计的重点,从Xperia Acro S开始,到极致轻薄的Xperia Z L36h,再到Xperia Z3+在防水技术上带来新突破,Xperia Z3+在USB接口采用Capless无盖裸露的防水技术,防水级别达到IP65/IP68水准。

索尼 Xperia Z3+

索尼对于手机防水技术的执着影响了很多手机厂商,在2016年CES上,三星Galaxy S7的发布,再次把防水功能拉入了旗舰智能手机的行列。

IPXX防护等级概念

防护标准等级

这里的“IP”是国际防护标准等级;简而言之,IPXX中“XX”两位数字分别代表防尘和防水等级,其中防尘等级从0~6,防水等级则从0~8。

第一个“X”指的是防止外物和灰尘侵入的等级,用0-6的标数来判断其防护能力:

防尘能力等级

对于手机设备而言,防尘5级意味着设备已经有了较好的防尘效果,虽不能完全防止灰尘侵入,但灰尘的侵入量不会影响电器的正常运作;6级则是完全防止灰尘侵入,所有接口等部位都密封完全,是与内部元器件完全隔绝。

第二个“X”是指防水等级,是由国际工业防水等级标准IPX和日本工业防水标准的JIS等级的统一制定标准,用0-8的标数将将防水能力分为9级:

防水能力等级

简单来说,对于一些防水性能一般的手机,只要做到6级及以下的防溅水能力,就能够防止一些生活洒水和雨水入侵到手机内,7级意味着设备在1米以内的水中,可以承受长达30分钟的浸泡而内部不进水,8级标准则更进一步,可以保证设备在1.5米以下的水中进浸泡30分钟内安然无恙。

1、范围

防水试验包括第二位特征数字为1至8,即防护等级代码为IPX1至IPX8。

2、各种等级的防水试验内容

(1)IPX1

方法名称:垂直滴水试验

试验设备:滴水试验装置及其试验方法见2.11

试样放置:按试样正常工作位置摆放在以1r/min的旋转样品台上,样品顶部至滴水口的距离不大于200mm

试验条件:滴水量为1 0.5 mm/min;

试验持续时间:10 min;

(2)IPX2

方法名称:倾斜 15°滴水试验

试验设备:滴水试验装置及其试验方法见2.11

试样放置:使试样的一个面与垂线成15°角,样品顶部至滴水口的距离不大于200mm。每试完一个面后,换另一个 .....面,共四次。

试验条件:滴水量为3 0.5 mm/min;

试验持续时间:4×2.5 min(共10 min);

(3)IPX3

方法名称:淋水试验

试验方法:

a.摆管式淋水试验

试验设备:摆管式淋水溅水试验装置(装置图形及其试验方法见本书2.14)

试样放置:选择适当半径的摆管,使样品台面高度处于摆管直径位置上,将试样放在样台上,使其顶部到样品喷水口的距离不大于200mm,样品台不旋转。

试验条件:水流量按摆管的喷水孔数计算,每孔为 0.07 L/min。淋水时,摆管中点两边各60°弧段内的喷水孔的喷水喷向样品。被试样品放在摆管半圆中心。摆管沿垂线两边各摆动60°,共120°。每次摆动(2×120°)约4s 。

试验时间:连续淋水10 min 。

b.喷头式淋水试验

试验设备:手持式淋水溅水试验装置,装置图形及其试验方法见本书2.14

试样放置:使试验顶部到手持喷头喷水口的平行距离在300mm至500mm之间

试验条件:试验时应安装带平衡重物的挡板,水流量为10 L/min

试验时间:按被检样品外壳表面积计算,每平方米为1 min (不包括安装面积),最少5 min 。

(4)IPX4

方法名称:溅水试验;

试验方法:

a.摆管式溅水试验

试验设备和试样放置:与上述第(3)条 IPX3 之a 款均相同;

试验条件: 除下述条件外,与上述第(3)条 IPX3 之a 款均相同;

喷水面积为摆管中点两边各90°弧段内喷水孔的喷水喷向样品。被试样品放在摆管半圆中心。摆管沿垂两边各摆动180°,共约360°。每次摆动 (2×360°) 约12s 。

试验时间:与上述第(3) 条 IPX3 之a 款均相同 (即10 min )。

b.喷头式溅水试验

试验设备和试样放置:设备上安装带平衡重物的挡板应拆去,其余与上述第(3) 条 IPX3 之b款均相同;

试验条件:除下述条件外,与上述第(3)条 IPX3 之b款均相同;

试验时间:与上述第(3)条 IPX3 之b款均相同, 即按被检样品外壳表面积计算,每平方米为1min(不包括安装面积)最少5min 。

(5)IPX5

方法名称:喷水试验

试验设备:喷嘴的喷水口内径为6.3mm;装置图形及其试验方法见本书2.14

试验条件:使试验样品至喷水口相距为2.5~3m,水流量为12.5 L/min (750 L/h);

试验时间:按被检样品外壳表面积计算,每平方米为1min(不包括安装面积)最少3 min 。

(6)IPX6

方法名称:强烈喷水试验;

试验设备:喷嘴的喷水口内径为12.5 mm;装置图形及其试验方法见本书第2.14章;

试验条件:使试验样品至喷水口相距为2.5~3m,水流量为100 L/min (6000 L/h);

试验时间:按被检样品外壳表面积计算,每平方米为1min(不包括安装面积)最少3 min 。

(7)IPX7

方法名称:短时浸水试验;

试验设备和试验条件:浸水箱。其尺寸应使试样放进浸水箱后,样品底部到水面的距离至少为 1m 。试样顶部到水面距离至少为0.15 m 。

试验时间: 30 min 。

(8)IPX8

方法名称: 持续潜水试验;

试验设备,试验条件和试验时间: 由供需(买卖)双方商定.其严酷程度应比IPX7高。

通常采用的手机防水设计

手机防水其实并没有什么“黑科技”,防水手机普遍采用的方法就是密封胶、橡胶圈、防水膜、纳米涂层。通常手机容易进水的部位:手机壳、听筒、扬声器、USB接口、实体按键等部件。

三星Galaxy S7后盖/屏幕防水设计

首先,外部防水设计,手机壳/屏幕通常使用了大量的密封胶粘合来有效密封手机,起到防水作用。

三星Galaxy S7听筒防水设计

其次,听筒、扬声器、麦克风使用防尘防水的膜放在手机外壳里面进行防水,防水膜能够在最大程度保持密闭的情况下加入呈网状的泄压孔,可以理解为“透气不透水”。

三星Galaxy S7采用的橡胶圈防水设计

在耳机接口、USB接口、卡槽、实体按键与机身之间的缝隙通常使用橡胶圈来密封,从而达到防水的效果。

接口防水设计(左为防水薄膜防水/右为胶塞防水)

在耳机接口和USB接口的内部处理上,早期的设计通常是在端口处采用防水胶塞来防水,现在随着技术不断的进步,端口都采用裸露式的防水设计,内置纳米涂层/“防雨薄膜”等。

※注:三星Galaxy S7采用了GORE-TEX(戈尔特斯)的防雨薄膜,其材料本身轻、薄、坚固和耐用,它具有防水、透气和防风功能;GORE-TEX薄膜材料的防水原理也很简单,其每平方英寸有90亿个极微小细孔的薄膜,尽管这些微孔的体积是水分子的七百倍,但是仅为液态水滴的两万分之一,所以水分子可以以水蒸汽的形式排出,外侧水滴却无法进入。

至于防水主板,手机厂商通常在主板上增加一层防水涂层,让主板具备实现一定的防水能力的。使用这种防水涂层后,滴到主板上的水会很容易流下来,而不会因为水的表面张力而吸在主板上。

防水功能之前没有被智能手机广泛配备的原因?

1、为了节省成本:

防水设计成本将大大增加

(1)在扬声器、听筒、麦克风都增加一层“防水膜”,材料成本可能在20元左右;

(2)屏幕/后壳与中框之间的缝隙,通常采用密封胶来处理,增加成本;

(3)USB接口、耳机接口、实体按键与机身之间的缝隙,通常采用橡胶圈来处理,成本再次提升;

(4)如果USB接口、耳机接口内部结构设计将采用防水技术,继续增加成本;

(5)机身材质也要考虑防水性能,成本可能还要增加;

(6)防水手机在量产前后,手机必须经过实验室的质量检测,费用“不菲”。

成本增加或许是“遏制”手机防水性能普及的一个最重要的因素。

2、制程难度升级

如果手机采用防水设计,手机代工厂将增加工序,生产难度、良品率将会受到影响,一系列的制程需求对于代工厂商来说要求较高,如果订单量较大,产能可能出现问题。

关于手机“进液标识”

三星手机的“进液标识”

Mate9有两个防水标签,如果防水标签变红证明手机进水,如果没变红表明没进水一个在手机内部:需要拆开手机,在手机才能看到,靠近USB接口处,另一个可不用拆开手机就能看见,从耳机孔外就能看见,如果变红表示耳机孔处进水。

7、环保设计

目前遵循的环保指令主要是 WEEE Directive (欧盟议会和欧盟理事会关于报废电子电气设备指令)和 RoHS (欧盟议会和欧盟理事会关于在电气电子设备中限制使用某些有害物质指

令)。

从 2006 年 7 月欧盟市场禁用铅,汞,六价铬,镉,多溴联苯 (PBB),和聚溴二苯醚

(PBDE) 等 6 种有毒物质。

整机设计时,还需要注意回收率。回收率增加至设备重量的 75 % 以上。组件、材料和物质再利用和再循环增加至设备重量的 65%以上。

另外,整机还需要粘贴环保标志,便于分类收集生产者投放到市场的电子电气设备。

标识:环保、分离回收、回收材料、设备分拆、包装材料等标识。

A 类环境的防护

A 类防护的重点在于合理的选用材料,局部喷涂,金属(镀锌层)丝印,EMC 材料的接触腐蚀,运输、储存环境剖面的不可预见性。

1)铝及铝合金选用注意如下事项:

①铝及铝合金的耐蚀性:纯铝>防锈铝>锻铝>压铸铝>硬铝

②硬铝(合金铝)通常表面有一层包铝层(纯铝)保护基体材料,当机加工后,基体裸露,由于铜元素的分部,在贫铜区会产生凹蚀坑及“白粉”状腐蚀物。因此,在湿热环境下应用硬铝如 2A12 等的加工件(破坏包铝层)要非常慎重。

③根据结构特点及功能要求铝及铝合金的选用原则是:无承力要求及导电件选用纯铝;有一般承力要求的钣金件可选用防锈铝;铝型材及机加工件例如:屏蔽盒可选用锻铝 6061 或 6063;

压铸铝合金应选用 YL102,而尽量不用 ADC12(含铜)。

2)A 类环境工艺要求 ①电镀、氧化件要避免深凹、盲孔及积水结构;在前处理时,盲孔内会截留腐蚀性液体而不易清除。应避免夹缝结构,以防储留腐蚀液。

②组合工序的安排:

带有螺纹连接、压合、搭接、铆接、点焊等组合件,原则上不允许进行电化学处理

(电镀、阳极化);

不同类金属材料的组合件不能在一起进行溶液处理。应尽可能采用涂漆或在电化学处理后进行组合。

③镀锌层须考虑的潜在问题:

经铬酸盐钝化处理的镀锌层零件,其使用温度不得超过 71℃ 。这对于有局部喷漆保护的零件不适用,会使裸露的锌层钝化膜失效。

④“氢脆”

高强度钢(抗拉强度超过 1050MPa)在电镀过程中会出现氢脆现象。弹性零件一般不建议电镀,由于环境或特殊要求(导电、耐磨等)必须电镀时,电镀前应消除应力,电镀后进行除氢处理。

电镀后立即将零件置于 177 ℃~204 ℃下烘烤 5 小时,然后进行钝化处理。成型、淬火后,零件应在 149 ℃ ~260℃下烘拷 30 分钟,以消除应力,然后进行清理和镀覆。

⑤电偶腐蚀,不同金属的接触电位差在 A 类环境应控制在 0.4V。

⑥A 类环境的设备须考虑到运输、储存时所会遇到的 B、C 类环境剖面

对于军用电子设备 PCB 需进行敷形保护涂覆。要考虑运输, 储存, 维修时可能遇到 B, C 类环境, 提高可靠性及环境适应性能力。

⑦在 A 类环境的防护设计中有以下几个问题须特别注意:

A.镀锌件局部喷涂或丝印后,经高温烘烤镀锌件钝化膜会失效, 湿热后产生白粉.

B.EMC 屏蔽材料与所接触的金属(铝或镀锌层)都超过了允许的最大电位差(0.4V);电解板(镀锌层)与导电布(镍镀层)间的电位差是 0.9V;铝合金导电氧化与导电布(镍镀层)间的电位差是 0.45V~0.6V;铝合金导电氧化与导电橡胶之间的电位差是 0.6~0.7V。

C.非金属材料的应用不规范

自身长霉的材料;选用胶粘剂不当;散发出有害气体的材料---如某些橡胶中有”硫”;不符合环保等法规要求的有害材料。

D.选择紧固件、镀层材料等时环境适应性控制不当。

B 类环境的防护

B 类环境防护由于对环境剖面的复杂性很难定位,同时又要考虑成本因素,因此是最困难的。所以在军品防护等级上只分二级(B 类和 C 类合为一级防护)。所有对 A 类环境的防护要求,在 B 类环境中都必须满足,同时还有更高的要求。

B 类环境防护的重点是正确选用防护材料和工艺。B 类环境剖面(极端环境)的特点是长时间的湿热环境;湿热+灰尘;湿热+灰尘+盐雾

温湿度不受控的室内;地下室;户外简单遮蔽;一般环境的户外设备,都属于典型的B 类环境。

由于有室外设备, 结构件分为 “Ⅰ”型结构件和 “Ⅱ”型结构件两类,除安装在户外设备的外表及附件外,其它的大多数零部件属于“Ⅱ”型结构件。“Ⅰ”型结构件除奥氏体不锈钢和某些铝阳极化(如微弧氧化)特殊零件外,所有的金属件都须采用有机涂层覆盖。户外 “Ⅰ” 型面的紧固件, 应采用不锈钢(奥氏体)材料会更可靠。

户外设备的涂层,喷粉应采用聚酯系列、不采用环氧系列;喷漆应采用丙稀酸或丙稀酸/聚氨酯体系、有机氟涂料。

户外钢结构件尽量考虑采用热浸锌+喷涂有机涂层防护体系如:底座、承力弯角件、埋地部分等极易腐蚀部分。

室内设备主要考虑在长期湿热环境下的防锈蚀和灰尘+盐雾的极端环境下的防护。

压铸铝件的化学氧化(无色)在湿热环境下会腐蚀成“白粉”状,ADC12 会更严重,有可能应在无需导电部分喷漆。

B 类环境中户外机柜及模块的防护注意事项如下

①暴露在Ⅰ型面的所有构件,应避免积水。尽可能消除缝隙,防止水、灰尘和盐雾的沉积。

②大型机柜密封条的拼接处应在水流的下方,并用室温硫化硅橡胶粘接、腻平。防止渗水。

③结构上应防止门的应力变形,形成缝隙。

④控制屏蔽材料与金属材料的接触腐蚀。

⑤防止机柜内部由于温差而产生凝露。

⑥小型机箱或模块的防水密封衬垫,应采用高抗撕硅橡胶模压成型。不应采用胶条拼接。拼接件经受不住环境老化而失效。

⑦有屏蔽要求,处于Ⅰ型面的模块,应选用模压的双峰导电衬垫,可避免导电胶条对

铝模块的电偶腐蚀。

考虑到 B 类环境的剖面,PCB 应进行敷形保护涂覆。

B 类环境整机设计注意事项如下:

①尽量不用预镀板,如果有局部喷涂(接地或导电)要处理好接触腐蚀及切口边的锈蚀问题。

②重视防尘设计:在 B 类环境的室内设备,良好的防尘设计是保证设备可靠工作的重要条件。防尘网属易损件,应设计成方便更换,易于清理并有详细的操作规程。

③屏蔽材料与金属接触腐蚀的规避,应遵守 0.25V 的规定.

④材料选用:按规范选用。未经试验的或预计有问题的材料,应经试验后优选并制订规范再应用。

C 类环境的防护

C 类环境存在盐雾、盐碱粉尘和有害气体及酸雾、酸雨灯腐蚀介质。C 类环境的典型地区为东南沿海、海岛、舰船;沙漠(盐碱湖)、盐碱湿地及周边;化工厂、皮革厂、矿山、冶炼厂、火电厂周边;海外:东南亚、西亚、中东、印度及加勒比沿海地区。

这一带区域或高温、高湿、高盐雾。昼夜温差大或环境污染严重。处于该区域的通讯电子设备、安装结构件、紧固件、天馈系统属于 C 类环境“Ⅰ”型面。在该环境剖面,金属的腐蚀速度比一般地区高几倍~几十倍。

C 类环境如果用不锈钢,需要选用奥氏体材料,如:1Cr18Ni9;1Cr18Ni9Ti;0Cr18Ni9;0Cr17Ni12Mo2,选用无磁性的奥氏体不锈钢;要求钝化处理,通过中性盐雾试验 48 小时无腐蚀。紧固件须定点供货,每批次应进行盐雾试验检测。

C 类环境对于结构件的形式和安装工艺有如下要求:

①要避免凸出的棱角和尖锐的切边(应打磨成圆角)再进行防护处理。

②安装件的折弯半径应是板厚的 1 倍以上,以避免应力太大而产生应力腐蚀。

③避免缝隙腐蚀;采用连续焊,在焊接部位须喷二道底漆及二道面漆(尽量减少针孔率)。

④安装后的涂漆工艺:

a.当Ⅰ型面上有导电连接部位时,应尽可能设计成永久性连接:即在装配完成后涂覆有机涂层或灌注密封胶。

b. C 类环境中现场安装后,须在所有装配紧固件部位及漆层破损处进行补漆处理。

C 类环境下,所有Ⅰ型面结构件的金属外部棱边应该倒成圆角,以利于获得适当厚度的涂敷层(电镀或热浸锌层、喷粉层或喷漆层的厚度)。金属的锐边上涂层是达不到设计要求的厚度。通常倒圆角半径在 3.18mm 左右.

C 类环境如果用非金属材料,注意事项如下:

①涂料:喷粉选用聚酯料;油漆选用丙稀酸或丙稀酸/聚氨脂。

②密封材料:

橡胶-----硅橡胶、乙丙橡胶、氯丁橡胶。

密封胶-----RTV 硅橡胶。

防水胶带-----EPR。

③塑料:要求耐候性好、耐紫外线及耐低温。如:PC、PET、PVC 等。

C 类环境的防辐射设计注意事项如下:

①暴露在外的所有构件应避免积水,尽可能消除缝隙,防止灰尘,盐雾沉降。

②Ⅰ型表面原则上不允许有裸露金属(包括镀层,不锈钢除外). 应当用有机涂层覆盖,涂层应耐紫外线辐射。

③对大容积构件(如:天线箱体,天线罩,高频箱)应避免气密性设计, 应有通气孔或加有防水透气阀.使腔体内,外压力平衡.否则腔内会积水。

④对有密封要求的模块,密封圈应选用高抗撕硅橡胶制成的”O”形或”D”形圈.不允许密封圈有接缝, 或采用橡胶板裁剪成衬垫,实践证明这是不可靠的。

⑤室外型设备的某些构件,可选用复合材料的模压制品(如 SMC 或玻璃钢)这类材料具有比强度高和耐腐蚀性及批量生产成本低的特点。

⑥黑色金属的重防护:采用热浸锌、(或喷锌、喷铝)工艺,厚度在 50μm~150μm 再喷底漆+二道面漆。用于户外机架、褂梁埋地构件等。

D 类环境的防护

D 类空间环境的特点是上升/再入阶段 高冲击、振动、噪声;暴露于高真空和高辐射下;入轨后,可当成 “A 类环境”

D 类环境的防护需要注意防冲击、防振动。组装电路板时,器件应尽量靠近PCB板底部。如果允许,涂覆层的厚度增加到100~250微米,使器件底部与基板通过涂层连成一体,可增强设备的抗振能力。某些器件重量大于7克,并靠自身引线支撑,例如电容器等。须用RTV硅橡胶进行局部加固。

处于空间环境的电子设备,均需密封结构。必须对微环境中有害气体严格控制。

橡胶件须进行二段硫化工艺。PVC导线内有各类添加助剂、有低分子物逸出,必须严格控制。

硅脂选用SE-4490CV低分子挥发物最低。RTV硅橡胶应在室温下放置48小时后,于 60~65℃烘 6~8小时。

由于空间环境辐射强度比地面强,有机高分子材料应选用耐辐射强的材料。聚稀烃材料如PE、PP、ABS、聚甲醛、聚四氟乙稀等耐辐射性能不良。PC中等。聚砜、聚酰亚胺耐辐射性能好。

苯撑硅橡胶最好。经定量辐射后,其强度下降26%、伸长率下降43%;而其它橡胶强度及伸长率下降在70%以上。

入轨后, 设备处于稳态环境, 可看成是 A 类环境。

三防技术是一项“自上而下”抓的系统工程,要尽量多了解设备的“寿命期环境剖面”,按规范设计,要跟踪已使用的设备“故障”情况,总结经验;不断“滚动修订”完善设计规范;建立并完善“三防体系”,逐步克服设计上的随意性。

8 构设计实例——ATCA 平台结构

ATCA 是 Advanced Telecom Computing Architecture(先进电信计算架构)的缩写。

ATCA 标准,是一项业界倡导的标准,旨在为运营级电信解决方案创建一种新型的板卡(刀片式)和机箱外形规格。ATCA 旨在通过为多种标准交换架构(包括以太网和 PCIExpress)提供支持,满足下一代通信应用的要求,并为制造商提供满足苛刻用户要求的诸多功能。ATCA 提供动态空间,以实现新一代模块化、高性能却经济适用的电信解决方案。

ATCA 由一系列规范组成,包括定义了结构、电源、散热、互联与系统管理的核心规范 PICMG3.0 以及定义了点对点互联协议的 5 个辅助规范组成,包括:3.1 以太和光纤传输;

3.2 InfiniBand 传输;3.3 星形传输;3.4 PCI-Express 传输;3.5 RapidIO 传输。本小节注意介绍结构设计。

ATCA 平台由机箱、刀片式板卡、背板、电源分配系统、散热系统和机箱管理系统组成。

机箱是把整个产品结合成机械整体的主体,需要依靠机箱保证整机的机械结构强度。

ATCA 按型式可以分为直立型机箱与横向型机箱两种类型。直立型机箱为标准的 14 槽位,如下如所示。

横向型机箱因受限于机箱高度,所以视其高度决定槽数的多少。横向型机箱如下图所示。

刀片式板卡可以简单按位置分为前插单板和后插单板。前插单板就是通常说的 ATCA 单板,可以分为业务单板和交换单板。后插单板就是后端转换模块(RTM),为前插单板提供接口扩展。

ATCA 的背板主要分为双星、双双星和全网状互连三种拓扑结构。

双星结构在 ATCA 机框内有两块交换单板,每块交换单板与机框内其他的每一块单板都有一条独立通道互连

双双星结构在机框内有四块交换单板,每块交换单板与机框内其他的每一块单板都有一条独立通道互连。

全网状互联结构机框内的每块单板与其他的每一块单板都有一条独立的通道互连。不需要中心交换结构,每块单板都可以做数据转发和数据处理。具有很大的灵活性,比较适合机框槽位较少的系统。

ATCA 的背板数据传输包括业务平面(交换接口、更新通道)和控制平面(基本接口、

同步时钟接口)。背板连接器的数据传输接口分布如下:

基本接口(Base Interface)可以理解为 ATCA 架构的管理控制平面总线,一般在系统中用来传输控制面信息。支持 10/100/1000 BAST-T 以太网通道

交换单板的 Base Interface 提供以太网通道与其他单板相连,每条通道是以 4 对差分线的形式在背板传输。其他单板有两条通道,分别与两块交换单板相连。

交换接口(Fabric Interface)是 ATCA 架构的业务平面的数据通道,为 ATCA 单板提供高速数据传输。Fabric Interface 提供以太网通道以供机框内单板互连。

Fabric Interface 的每个通道(Channel)由 8 对差分线(4 对接收、4 对发送)构成,每两对差分线(1 对接收,1 对发送)构成一个端口(Port);Fabric Interface 支持 ATCA 架构的多种拓扑结构。Fabric Interface 支持多种传输协议。

更新通路可以理解为相临两块单板之间的专属内部链接通路,提供状态信息共享。例如在热备份系统中提供互锁信号,如备份板在规定时间内收不到主系统有效信号,备份板将接管系统。

同步时钟接口采用冗余总线连接方式,提供 6 对/3 种时钟信号。

机框管理系统由机框管理控制器(ShMC=Shelf Management Controller),智能平台管理接 口( IPMI=Intelligent Platform Management Interface),智 能 平台管 理控制 器

(IPMC=IPM Controller ), 智能平 台管理 总线( IPMB=IPM Bus), 现场置 换单元

(FRU=Field Replaceable Units)和 I²C 总线(Inter-Integrated Circuit)组成。

ATCA 机框管理系统由两个独立互为热备份的 ShMC 和位于各个业务板卡上的 IPMC 组

成。ShMC 是系统管理模块,完成机框设备管理、传感器/事件管理、风扇框/电源框管理、用户管理、IPMI 协议处理、远程维护等功能。

IPMC 位于 ATCA 架构的单板和其他机框组件上,完成其上各种关键硬件资源的监视、控制及管理,如热插拔处理、电源管理、风扇管理等。

IPMB 总线是整个 ATCA 系统的系统管理总线,由两条 I²C 总线组成,通过背板连接器

连接 ShMC 与各单板、配电框、风扇框的 IPMC,完成监控命令的下发和告警信息的上报。

IPMB 总线提供双总线或双星型配置,以冗余架构保证系统可靠性。

ATCA 电源主要是为了满足电信级应用对大功率的需求;单板最大功率可达 200W 以上,供电方式:-48V 电源直接引入单板,在电源供给上采用双冗余电源以防止电源供给异常引发单点故障。

机箱散热系统可以分为 3 种设计方式:

①具有前方进气风扇与后方排气风扇的组合散热系统

②只有前方进气风扇的散热系统

③只有后方排气风扇的散热系统. 。

理论上,第 1 种方式为最理想,一般适用于 12U 以上的机箱。受高度与风扇风量影响第 2 种与第 3 种方式一般适用于 12U 以下的机箱,每种方式各有其优缺点。

从前方风扇进气方式优点如下:

①风扇在正面维修方便;

②系统内为正压,故灰尘不易进入;

③风扇位于进气处,温度相对较低于排气处,风扇寿命较长;

④系统内若着火,前方进气风扇依然能维持正常功能;

相对的,后方风扇排气方式有散热效率较佳和每一槽的风流量较均匀的优点。

在总体方案有些大版本,需要重新定义机箱,产品机箱定义就在总体设计阶段,这时总体设计的工作是繁重而高级的。定义机箱工作量大,而且需要考虑产品的迭代升级,产品持续的竞争力,需要设计者具备全流程视野和战略能力以及技术深度和广度,对技术演进的预判能力。因为工作量大,所以繁重;因为对工作能力要求高,所以高级。定义机箱,首先要做的第一件事情就是定规格,这个规格包含:业务规格、整框规格、单板规格。

①业务规格,这个需要满足客户期望、有市场竞争力、最合理的颗粒度。我记得大学同学刚毕业的时候去烽火通信,去南美市场,销售光通信,当年号称密集光波分复用(DWDM),一根光纤传输 1T 带宽信号,全光通信,远距离传输。结果同学到了厄瓜多尔,一个国家都用不了一根光纤,在那里主要卖“猫”(调试解调器)。

所以业务规格很重要,并不是越大越好。我们当年我们做企业网,一开始没有设计专

门的设备,认为用运营商设备借用到企业网,实现归一化。用运营商架构做企业通信设备,除了几个大银行能接受这么大规格的设备,小公司都没有这样的硬件规格需求。并且由于运营商的软件结构,在企业网也显得臃肿。

②整个机箱的规格,包括的电源、功耗、散热、可靠性的规格,要保证整款满足环境应用要求。

当业务确定之后,需要根据整机的使用场景,确定整机的电源输入的特性,整体功耗的需求,以及散热条件。电源需要考虑一次电源转换为二次电源的能力。散热需要考虑风道是否合理,不同槽位的单板散热的差异,风扇失效模型等等。整机风道如图所示。

PCB设计系列文章

【1】兴趣驱动热爱

【2】硬件工程师要不要自己画PCB

【3】PCB走线应该走多长?

【4】PCB走线应该走多宽?

【5】PCB的内电层

【6】过孔

【7】PCB能不能走锐角和直角?

【8】死铜是否要保留?(PCB孤岛)

【9】焊盘上是否可以打过孔?

【10】PCB材料、FR4到底是指什么材料?

【11】阻焊层,绿油为什么多是绿色

【12】钢网

【13】预布局

【14】PCB布局、布线 的要领

【15】跨分割走线

【16】信号的反射

【17】脏信号

【18】沉金、镀金、喷锡等表面处理工艺

【19】线距

【20】电容的摆放位置

【21】串扰

【22】PCB的飞针测试

【23】FPC概述及仿真

【24】为什么PCB变形弯曲?如何解决?

【25】一文搞懂“特征阻抗”

【26】PCB的叠层设计

【27】高速电路PCB回流路径

【28】PCB设计中电源处理与平面分割

【29】锯齿形的PCB走线——Tabbed routing

【30】PCB的介质损耗角是什么“∠”?

【31】PCB铜箔粗糙度对高速信号的影响

【32】晶振为什么不能放置在PCB边缘?

【33】什么是高速信号?

【34】什么是传输线

【35】预加重、去加重和均衡

【36】如何利用PCB散热

【37】PCB设计中的“stub”

【38】纠结:走线之间的GND保护地线要还是不要?

【39】PCB 覆铜

【40】进行 PCB 设计时应该遵循的规则

【41】PCB叠层设计中的“假八层”

【42】除了带状线、微带线,还有“共面波导”

【43】PCB焊盘设计工艺的相关参数

【44】PCB设计时,板边为什么要打地孔

【45】更容易散热的PCB:铝基板

【46】为什么要把参考平面掏空?

【47】晶振的PCB设计

【48】用EMC思想来设计DC/DC电源的PCB

【49】PCB拐弯,不一定是圆弧走线最好

【50】为什么要把过孔堵上“导电孔塞孔工艺”

【51】电源PCB布局布线要点

【52】PCB板上的Mark点【53】用ADS仿真高速信号跨分割

【54】刚柔板(软硬结合板)

【55】数模混合的PCB设计

【56】PCB设计中电容的摆放

【57】PCB设计中过孔残桩的影响

【58】去耦电容在PCB设计中的布放与走线

【59】PCB设计checklist:结构

【60】PCB设计checklist:电源

【61】PCB设计checklist:布线

【62】PCB设计checklist:高速数字信号

【63】工艺边

【64】PCB设计:金手指

【65】PCB设计:差分线

【66】DDR4的PCB设计及仿真

【67】电路板设计中要考虑的PCB材料特性

【68】什么是好的“PDN”的PCB设计

【69】PCB详细布局、布线设计

【70】USB2.0 PCB布线

【71】反激式开关电源PCB设计要点

【72】PCB设计,焊盘与过孔工艺规范

【73】PCB哪些因素影响损耗

【74】PCB 过孔对散热的影响

【75】如何在PCB设计阶段规避焊接的问题

【76】为什么有时在PCB走线上串个电阻?有什么用?

【77】PCB爆板

【78】PCB设计不好造成的信号完整性问题

【79】PCB设计:绕等长

有没有一本书读后,相当于华为工作十年经验?

128版本,包含下列资料下载:

相关问答

机械 结构设计 过程中应重点考虑哪些方面?

1.首先,题主提出的问题不够具体,应针对机械工程行业应用:例如1.1研发类产品结构设计(铸件、模具、机架类结构件);1.2非标类机械结构设计(线体、动力...军...

有没有什么数字电路 设计 方面的实用书籍推荐一下?

推荐电子产品结构工程师读的书多次收到新入行的工程师咨询邮件,问:作为一个电子产品结构工程师,应该读哪些专业书,我均写邮件婉拒。一则因为我读书很杂;二...所...

机械 设备 由哪几部分组成?

机械设备一般有四部分组成。这四部分是,动力部分,传动部分,工作部分,控制部分,动力部分一般选择的是电机,由转动变换成设备所需要的运动,这部分一般称为传...

开发软件要学习什么?要什么 设备 ?

移动端开发通常需要有相应的实验设备(Android手机等),另外iOS开发通常需要购买相应的硬件设备(MBP等)。第三:嵌入式开发领域。随着5G标准的落地应用,未来...基...

简述ctc 设备 与系统 结构 ?

一、CTC是列车调度集中指挥控制系统,属于分散自律式调度集中系统,除了完成TDCS的全部功能外,还可以完成管内车站信号设备的操控功能,也就是说原来车站值班员...

建筑图与 结构图 的区别是什么?_作业帮

[最佳回答]主要用来表示房屋的规划位置、外部造型、内部布置、内外装修、细部构造、固定设施及施工要求等.它包括施工图首页、总平面图、平面图、立面图、剖面...

养鸡的棚子怎么建?

养鸡的棚子怎么建?来点儿详细介绍。谢谢。大家好,我是老杨,从事养笨鸡、卖笨鸡蛋已近十年。很高兴回答这个问题。鸡的棚子怎么建?首先取决于您要养多大的规...

《铁路运输 设备 》第一次大作业一、填空题(每空4分,共60分)1....

[最佳回答]路基桥隧建筑物轨道路堤路堑防爬器防爬支撑转辙器辙叉护轮轨和连接部分特重型、重型、次重型、中型、轻型ceabcd你图都不给,你以为我们神仙...

计算机硬件系统由哪几部分构成?其基本思想是什么?-ZOL问答

电脑都是由:主机(主要部分)、输出设备(显示器)、输入设备(键盘和鼠标)三大件组...从基本结构上来讲,电脑可以分为五大部分:运算器、存储器、控制器、输入设备...

复印机的 结构及 工作原理?

.二、数码复印机首先通过CCD(电荷耦合器件)传感器对通过暴光、扫描产生的原稿的光学模拟图像信号进行光电转换,然后将经过数字技术处理的图像信号输入到激光...

标签:

相关阅读