城市扩张与遥感应用电子版 论文推荐|汪韬阳:基于DMSPOLS夜光遥感影像的城市扩张政策驱动因素分析

小编头像

小编

管理员

发布于:2025年05月04日

103 阅读 · 0 评论

论文推荐|汪韬阳:基于DMSPOLS夜光遥感影像的城市扩张政策驱动因素分析

《测绘学报》

构建与学术的桥梁 拉近与权威的距离

汪韬阳1, 张过2, 李沛然3, 厉芳婷2, 郭雪瑶2

1. 武汉大学遥感信息工程学院, 湖北 武汉 430079;

2. 武汉大学测绘遥感信息工程国家重点实验室, 湖北 武汉 430079;

3. 成都市新都区交通运输局, 四川 成都 610500

收稿日期:2017-06-26;修回日期:2018-07-30

基金项目:国家重点研发计划(2018YFB0504905;2016YFB0500801);国家自然科学基金(41374038;41204022;41674041)

第一作者简介:汪韬阳(1984-), 男, 博士, 副研究员, 研究方向为航天摄影测量方面的理论与应用。E-mail:wangtaoyang@whu.edu.cn

通信作者:张过, E-mail: guozhang@whu.edu.cn

摘要 :城市扩张的速度和方向已成为社会关注的焦点,利用夜光遥感进行城市扩张驱动力成因分析是近年来的研究热点。本文采用DMSP卫星所获取的年平均中国区域夜光影像数据,首先对1992—2012年共21年的时序夜光影像进行相对辐射定标;其次通过经验阈值法进行城市建成区面积提取,并通过Landsat影像进行精度验证;最后引入计量经济模型,以地级市主政官员政治周期为解释变量,对全国1992—2012年地级市扩张的政策驱动力因素进行了归因分析。通过本文的分析可知,地级市主政官员政治周期的更替对城市扩张方向存在显著影响。

Analysis on the Driving Factors of Urban Expansion Policy Based on DMSP/OLS Remote Sensing Image

WANG Taoyang1, ZHANG Guo2, LI Peiran3, LI Fangting2, GUO Xueyao2

Abstract : The speed and direction of urban expansion has become the focus of social concern, and it is a research hotspot in recent years that using night-light remote sensing for urban expansion driving force analysis of the causes. The average annual Chinese regional night-light image data is adopted that obtained by DMSP satellites. First of all, relative radiation correction is performed for 1992-2012, a total of 21 years of time-dependent night-light images. Secondly urban built area is extracted by empirical threshold method, and accuracy is verified through the Landsat images. Finally, the econometric model is introduced, the political cycle of the administrative officials of the prefecture-level city is the explanatory variable. It is analyzed the policy driving factors of the expansion of the prefecture-level cities from 1992 to 2012. Through the analysis of this article, we can see that the change of the political cycle of the administrative officials has a significant impact on the direction of urban expansion.

Key words: DMSP satellite image night-light remote sensing urban expansion administrative officials political cycle correlation

城市空间驱动力由多因素构成,主要分为外部驱动力和内部驱动力。外部驱动力包括政策、外部交通等因素;内部驱动力包括人口增长、经济自然发展、产业聚集、科学技术条件进步、自然环境约束、历史文化等因素[1]。城市空间的扩张是这些因素综合推动的结果[2]。当前,城市扩张的相关研究越来越多地利用遥感数据进行,其中夜光遥感影像以其特有的优势,发展得最为迅速。其优势在于:①不存在传统统计数据的内生性问题;②数据具有空间化优势;③在时序上能够客观地从整体上把握城市的扩张过程。因此,利用夜光遥感影像进行城市扩张驱动力成因分析,成为近年来的研究热点[3]。

本文工作主要包括两方面:一是DMSP/OLS夜光影像预处理;二是利用夜光影像进行城市化分析。由于DMSP/OLS遥感影像受大气等因素的影响,DMSP系列卫星传感器受测量误差和探测能力衰减的干扰,用于拍摄夜间灯光的线性扫描业务系统(operational linescan system, OLS)本身存在获取影像夜光值饱和等问题,很多学者对于DMSP影像的预处理进行了研究。DMSP夜光遥感研究专家Elvidge于2009年提出了一种基于不变区域的夜光遥感影像相互校正方法,并且将意大利西西里地区作为不变区域进行了全球范围内的DMSP夜光遥感影像相对辐射校正[4]。2012年中国学者利用类似方法进行了中国地区DMSP夜光遥感影像相对辐射校正[5]。文献[6]通过夜光遥感影像与电力消费的高度相关性,进行了日本地区年度夜光影像饱和校正。由于文献[6]的研究仅限于单一时相的年度校正,文献[7]提出了一种解决多时相的夜光遥感影像相对辐射校正方法,并且取得了良好的效果。

利用夜光影像进行城市化分析、城市建成区提取是城市化研究中的重要课题。文献[8]认为城市建成区存在一个较优的固定阈值,通过这个固定阈值进行夜光遥感影像阈值化可以得到较为准确的城市建成区面积。文献[9]提出,在夜间灯光遥感影像中:①城市建成区应该是一个保持了完整几何形状的连续区域;②像元的灰度值越高,表征其亮度越高,属于城市建成区的可能性也就越大。类似地,文献[10-12]也针对利用图像分割进行基于夜光遥感的建成区提取进行了研究。夜光遥感影像也可以用于挖掘城市体系、城市群结构等城市宏观机理的研究。文献[13]利用DMSP/OLS夜间灯光遥感影像进行了空间聚类分析,计算了中国包括上海、广州、北京等城市的城市群分布情况。文献[14]基于不同的方法对辽宁中部城市群体系的演化进行时序分析。文献[15]通过DMSP/OLS夜光数据进行了东北地区城市群城市化演进的研究。该研究表明东北城市化进程最快的5个城市分别是:沈阳、长春、哈尔滨、大庆、大连。文献[16]通过对1992-2010年长达19年的时序DMSP/OLS数据的研究,分析了环渤海地区的城市群空间格局演进时序历程,发现了中心城市与卫星城市联系变得更加紧密等现象。

以上研究大多针对夜光卫星影像本身的信息进行挖掘分析,仅用于表征城市发展过程中的明显变化,未对引起变化的成因进行深入分析。本文采用DMSP卫星所获取的中国区域年平均夜光影像数据,首先对1992-2012年共21年的数据进行相对辐射定标;其次通过经验阈值法进行城市建成区面积提取,并利用Landsat影像进行精度验证;最后引入计量经济学方法,以地级市主政官员的政治周期作为变量,对全国1992-2012年地级市扩张的政策驱动力因素进行归因分析试验。试验结果表明,地级市主政官员政治周期的更替对城市扩张方向存在显著影响。

1 相关数据源介绍

(1) DMSP/OLS卫星影像数据。DMSP(defense meteorological satellite program)是美国国防部的极轨卫星计划,DMSP上的线性扫描业务系统(operational linescan system, OLS)最初是专门为云层监测设计的振荡扫描辐射计,卫星以一天14轨的速度飞行,每天能提供全球黎明、白天、黄昏和夜晚4个时段的观测数据。DMSP系列卫星具体参数如表 1所示。

表 1 DMSP卫星平台载荷参数Tab. 1 DMSP satellite platform load parameters

项目参数轨道高度830 km分辨率2700 m周期101 min(每天14圈)条带宽度3000 km每天全球覆盖4次波段0.4~1 μm(近红外),10~13 μm(热红外)光谱分辨率6 bit(近红外),8 bit(热红外)灰度值范围0~63(近红外),0~255(热红外)

在DMSP/OLS的所有影像产品中,由NOAA在NGDC网站中发布的年平均无云数据(Version 4 DMSP-OLS Nighttime Lights Time Series)应用最为广泛。Version 4年平均无云合成数据由每年可用的DMSP/OLS全部数据平均而成,若当年有多颗卫星,则会有两份数据。生成的年平均产品格网为30″,数据范围为180°E-180°W,75°N-65°S,参考坐标系为WGS-84,影像幅宽为3000 km。

(2) Landsat卫星影像数据。Landsat(也即陆地卫星)是美国航空航天局NASA(National Aeronautics and Space Administration)于1972年开始发射的一系列对地观测卫星,迄今为止已经发射了8颗卫星。Landsat卫星采用具有太阳同步特性的近极地圆形轨道,使得Landsat系列卫星具有了良好的图像可对比性,因为该轨道保证了北半球中纬度地区上午成像数据的太阳高度角为25°~30°,成像条件良好且一致。鉴于Landsat卫星影像时间跨度长、可比性好,并且顾及基于Landsat数据进行城市建成区提取已经有较为成熟的自动提取/目视判读方法,故选用对应夜光影像年份的Landsat数据作为参考影像提取城市建成区,用于计算夜光遥感影像提取城市建成区的最佳阈值。

(3) 中国行政区划矢量图。数据来源为中国国家基础地理信息中心网站(http://ngcc.sbsm.gov.cn),坐标系为WGS-84椭球下的地理坐标系。

(4) 社会经济统计数据。所用到的城市建成区数据等社会经济领域统计数据均来自于《中国城市统计年鉴》。所用到的GDP统计数据均来自于国家统计局。

(5) 公开渠道搜集的我国地级市市长的任期变迁情况,共包含全国656个地级市。

2 基于DMSP/OLS夜光遥感影像建成区面积提取方法2.1 DMSP/OLS夜光遥感影像的相对辐射校正

由于DMSP/OLS遥感影像受测量误差、探测能力衰减、大气条件以及传感器本身获取夜光值饱和等因素的影响,针对DMSP/OLS系列卫星影像进行时序分析时,必须进行相对辐射校正。本文采用伪不变特征点/区域法来实施[17],步骤如下:①在不同的影像中寻找反射光谱不随时间推移而改变的地物样本点,称为不变特征要素(pseudo-invariant features,PIF);②通过不变特征区域进行相同波段之间的线性/非线性回归,求解回归模型参数;③通过回归参数进行线性/非线性回归变换,实现相对辐射校正。辐射校正流程见图 1。

图 1 夜光遥感影像相对辐射校正流程Fig. 1 Flowchart of relative radiation correction calibration for night-light remote sensing image

2.2 夜光遥感影像的建成区面积提取

对于我国来说,“城市中的城市化区域”即为城市建成区[18]。在进行建成区界定研究过程中,划定依据主要是城市的景观特征。不同的研究中对建成区的划分方式并不相同,并不存在唯一标准。针对夜光遥感影像的建成区面积提取问题,常用方法共4类:①经验阈值法[8];②突变检测法[9];③基于统计数据的比较法[19];④基于辅助影像的空间比较法[10]。针对上述方案,需考虑如下因素:①后续研究所需的研究范围较大,包括全国范围,必须考虑提取方案的高效性;②由于针对全国范围分析,因此要求不同城市之间的建成区面积具有可比性,必须考虑方案的普适性。顾及上述两点因素,需要排除突变检测法。因为该方法的普适性不强。本文针对其他方案采用对比试验的方式进行了分析和选择。

3 城市扩张的政策驱动因素分析方法3.1 城市建成区的扩张指标构建

构建一个量化的指标来衡量城市建成区的扩张,是后续分析的关键。变量的构建要顾及4个因素:①指标可量化;②指标要保持1992-2012年时间序列上的可比性;③指标不仅能反映城市建成区的扩张绝对值与增长率,还能反映扩张方向;④指标要与统计变量结合以便于相关分析。基于上述考虑,本文采用如下方法进行量化指标构建:将夜光数据中地级市范围的亮斑转化为矢量多边形,求取该矢量多边形的几何中心,将其作为地级市的几何重心;然后以地级市几何重心为原点构建平面坐标系,以正北方向为0°,将地级市城区矢量多边形分为8个象限,顺时针每旋转45°为一个象限;最后对每个象限多边形与夜光亮斑矢量化的多边形求交集,由此分别统计地级市8个象限夜光面积(图 2)。以这8个象限的夜光面积作为指标,即可表征城市建成区扩张的面积及方向。

图 2 全国地级市八象限裁切示意图Fig. 2 National prefecture-level city eight quadrant cutting diagram

3.2 城市扩张方向变动因素分析

本文引入计量经济学的模型,结合基于DMSP/OLS夜光遥感影像提取的建成区数据对“城市扩张的面积和方向中有多少因素是与主政官员政治周期相关”这个问题进行归因分析。

(1) 城市扩张变化变量的构建。本文构建指标grmaxdirchangecy来表征城市扩张方向的变化。计算方法如下:首先计算出每一年8个象限各个城市建成区增长率,取其中增长率最大的象限方向作为maxdir(max direction),然后对比上一年的maxdir,判断其是否发生改变。对于c城市y年而言,若maxdircy较(y-1)年c城市的maxdirc(y-1)发生改变,则记lightcy=1,反而则记lightcy=0。

(2) 政策因素变量的构建。本文采用替代变量的方式来衡量政策因素。除基本农田保护区外,国家通常难以干预具体某个地方发展的具体方向,这就导致了地方党政领导人对于城市开发的方向具有很大的影响[20],“一任领导一新城”的现象十分普遍。鉴于地方政府主政官员对于城市扩张政策的核心作用,本文采用地级市主政官员的政治周期作为政策因素的替代变量。

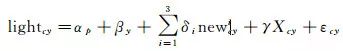
(3) 归因模型的构建。本文采用下述回归模型考察主政官员的变化对城市扩张的影响

(1)

式中,lightcy是城市c在年份为y时的基于夜光提取的建成区扩张方向变动指标;αp是省固定效应,作为控制变量控制不同省份的固有差异;βr是年份固定效应,作为控制变量控制某一年份的固有差异(若控制省份之后回归结果依然显著,则说明省份变量并没有干扰结论,可以证明结论的稳健性,年份固定效应同理);newcyi为3.1节中构建的政策因素变量,用主政官员在任的情况作为替代变量(顾及主政官员改变政策之后,再到城市扩张方向实际发生变化,这期间存在滞后效应,故此将官员在任时间分为3档:当i=1时,表示y年是城市c的市委书记(或市长)上任当年或上任后第1年;当i=2时,表示y年是城市c的市委书记(或市长)上任后第2年或第3年;当i=3时,则表示y年是城市c的市委书记(或市长)上任后第4年或第5年);xcy是控制变量,用于控制城市本身的发展阶段和工业发达程度等固有因素;εcy是随机扰动项;核心系数是δi,它衡量了城市主政官员变量对城市空间扩张的影响程度。最终,基于本文的归因模型,采用回归分析的方法进行统计分析和显著性检验。

4 试验结果与分析

结合已有的地级市主政官员任职年限的统计数据,本文所处理的试验区为中国大陆范围(未包含我国台湾和南海诸岛),所处理的数据对象是DMSP卫星所获取的年平均中国区域夜光影像数据。试验方案如下:首先对1992-2012年共21年的时序夜光影像进行相对辐射定标,确定其相对辐射基准;其次采用不同的阈值确定方案进行城市建成区面积提取,并通过Landsat影像进行精度验证;最后引入计量经济模型,以地级市主政官员政治周期为解释变量,对全国1992-2012年地级市扩张的政策驱动力因素进行归因分析。

4.1 相对辐射校正

由于NGDC(National Geophysical Data Center)发布的部分年份定标的夜光遥感数据已解决像元DN值饱和等问题,故采用2006年辐射定标数据(F16_20051128-20061224_rad_v4)作为参考影像,对1992-2012年一共33期夜光影像进行相对辐射校正。为了分析待校正影像与参考所用影像的最优拟合形式,33期夜光影像分别与参考影像进行了如下5种模型的运算:①线性函数模型;②指数函数模型;③二次多项式模型;④幂函数模型;⑤高斯模型的回归分析,并比较这个5个函数模型拟合得到的相关系数。回归分析结果如表 2所示。

表 2 平均回归系数Tab. 2 Average regression coefficient

项目相关系数线性模型R20.62二次多项式模型R20.85 指数模型R20.40幂函数模型R20.72高斯函数R20.73

从表 2可以看出,多项式拟合的回归系数明显最优。故此,本文采用二次多项式拟合函数模型进行33期DMSP/OLS夜光遥感影像的相对辐射校正工作。

此外,为了解决经相互校正和饱和校正之后出现的影像之间DN总值不连续的情况,按照如式(2)进行同年份影像的连续校正[17]

(2)

式中,DN(m,n)a、DN(m,n)b表示第m年不同卫星获取的影像中第n像元的像素数值;a和b表示不同卫星。

根据文献[19]的研究,下一年的校正后夜光影像亮度值在对应地块不应小于前一年同一地块的像素值。若不满足,则认为夜光影像的像素值异常。校正方法如下

(3)

校正后1992-2012年DMSP/OLS中国区域夜光总量和增量如图 3所示。

图 3 1992-2012年DMSP/OLS中国区域夜光总量和增量变化Fig. 3 Graphical variation and incremental variation of gradient in DMSP/OLS region in China from 1992 to 2012

由图 3可以看出,校正前后不同年份间夜光总量的连续性得到了显著的提升。随着年份的变化,不仅在夜光总量上没跳变,而且增长率也没有明显跳变,表现较为平滑。顾及夜光总量与经济发展的高度相关性,符合20年来我国经济发展的总体趋势。

4.2 建成区面积提取

利用夜光影像提取中国建成区面积采用的数据源有:①中国国家基础地理信息中心网站提供的中国行政区划矢量图(http://ngcc.sbsm.gov.cn),参考椭球为WGS-84椭球;②社会经济统计数据(本文中所用到的城市建成区数据等社会经济领域统计数据均来自于《中国城市统计年鉴》,收录了全国656个建制城市(含地级及以上城市和县级城市)社会经济发展和城市建设等各方面的统计数据);③选择1995年、2003年、2011年3个等间隔年份的DMSP/OLS夜光遥感影像作为试验验证;④选择成都、北京、武汉、郑州、南京、乐山等6个地区的Landsat8数据进行对比验证。

分别设置夜光影像DN值的阈值为30、45、50作为影像二值化的参考,进行建成区面积提取。分别统计每一个地级市相对于统计年鉴里地级市面积统计值的差值,并分别求出不同阈值情况下全国所有地级市相对差值的平均值,如表 3所示。

表 3 建成区面积误差统计Tab. 3 Built-up area error statistics

年份建成区统计值总面积/km2基于DMSP提取的建成区总面积(阈值30)/km2基于DMSP提取的建成区总面积(阈值45)/km2基于DMSP提取的建成区总面积(阈值50)/km2相对差值阈值30阈值45阈值501995814315 890.018 639 295.986 3877 896.374 2381.950.590.85200313 68037 756.519 6821 056.867 9916 319.804 992.760.560.78201115 19733 960.546 6317 310.487 6610 839.9832.230.510.63

从表 3可以看出,在阈值45的情况下平均相对误差是最小的,但是由于是与统计数据进行对比,统计数据本身可能存在内生性问题。考虑Landsat光学影像时间跨度长、易识别、几何基准一致的特性,故选用对应年份的Landsat数据作为参考影像提取城市建成区,用于计算夜光遥感影像提取城市建成区的最佳阈值。

考虑到中国经济发展地域性明显,本文选择位于西部的成都、位于东部的南京、位于中部的武汉、郑州以及一线城市代表北京、小城市代表乐山作为样本进行检验,结果如表 4所示。

表 4 不同方式提取的城市建成区面积对比Tab. 4 Comparison of urban built-up area by the different methods

km2城市基于Landsat影像基于DMSP(阈值50)基于DMSP(阈值45)基于DMSP(阈值30)成都301.29333.80452.65954.96武汉564.157418.34572.716893.87北京1 410.762 224.082 520.623 629.91郑州329.81320.89376.92556.18南京491.05594.13740.201 189.68乐山30.8120.8620.8620.86

再将基于夜光影像和Landsat影像提取的建成区面积进行线性回归分析,结果如图 4所示。

图 4 两种方式提取的建成区数据相关性Fig. 4 Correlation graph of built-up data extracted by two ways

从上述结果可以看出,虽然基于Landsat影像提取的建成区面积与基于DMSP/OLS数据提取的建成区面积存在绝对差异,但进行线性回归时相关系数均高于0.9,相关性非常显著。说明基于夜光影像提取的建成区面积在空间尺度上具有可比性,可用于时序城市发展分析。从这个结果也发现采用阈值45的相关性最强,作为本文建成区面积提取的经验阈值。

4.3 城市扩张的政策驱动因素分析

通过构建的计量经济学模型,对本文提取的建成区面积的八领域进行了回归分析。

(1) 从建成区增长率来看,城市建成区面积增长率随着主政官员任期的年限增加,出现显著的逐年下降趋势,如图 5所示。这说明地方主政官员上任初期比在任后期要显著地更加热衷于城市建设。

图 5 建成区增长率柱状图Fig. 5 Built-up area growth rate histogram

(2) 主政官员是否对城市扩张方向产生影响。将全部数据代入回归模型中,基于广义的线性probit模型进行回归得到结果如表 5所示。

表 5 城市扩张方向归因模型回归结果Tab. 5 Attribution model regression results table for urban expansion direction

参数值newp10.40*newp20.44**newp30.37observations4680R20.39provFEYyearFEY注:*表示10%置信区间显著;**表示5%置信区间显著;Y表示控制该变量之后结果依然保持显著。

由表 5可以看出,市长上任当年和次年,城市建成区扩张方向出现改变的概率会提高40%,上任后第2第3年改变的概率会提高44%,而且显著性更高,置信程度高达95%。考虑到干扰因素的存在,本文将省份固定效应provFE(province fixed effect)作为控制变量之后再次进行了回归,结果依然为显著(Y),表明在控制不同省份的固有差异之后,上述结论依然是成立的。同样的,本文将年度固定效应yearFE(year fixed effect)作为控制变量之后再次进行了回归,结果依然为显著(Y),表明在控制不同年份的固有差异之后,上述结论依然是成立的。综上所述,地级市主政官员对城市扩张方向的影响是显著的。这说明政策因素在我国城市发展中扮演了重要的角色,并且政策的不连续性较强,随主政领导的决策变动较大。如何保证政策的连续性,让城市发展更为科学合理,值得国家有关部门给予更多的关注。

5 结论

城市建成区的扩张是整个城市化进展的鲜明特征,通过研究城市建成区扩张的驱动力可以在一定程度上回答这个问题。中国作为一个社会主义国家,集中力量办大事是社会主义的一大优势,政策因素毫无疑问会是城市发展的一大驱动力。本文引入计量经济学方法,以地级市主政官员作为政策的替代变量,基于通过夜光遥感影像计算得出的城市建成区变化,对全国1992-2012年城市扩张的政策驱动因素进行了分析评估,得出了如下结论:

(1) 对DMSP/OLS夜光遥感影像进行相对辐射校正是必要的。本文采用二次多项式模型进行33期夜光遥感影像的相对辐射校正工作,保证了夜光影像DN值总量和变化率在时间维度上具有连续性。

(2) 通过经验阈值法进行了3个样本年份的建成区面积统计,并基于Landsat影像对基于夜光计算得到的建成区结果进行评估,确认最佳阈值为45可以作为建成区面积统计的阈值。证明基于DMSP/OLS夜光影像提取的建成区数据是可以用于后续城市发展研究的。

(3) 引入计量经济回归模型,以地级市主政官员作为政策的替代变量,通过夜光遥感影像分析城市建成区变化,对全国1992-2012年城市扩张的政策驱动力因素进行了归因分析,得出地级市主政官员对城市扩张方向有显著影响的结论。

【引文格式】 汪韬阳, 张过, 李沛然, 等. 基于DMSP/OLS夜光遥感影像的城市扩张政策驱动因素分析. 测绘学报,2018,47(11):1466-1473. DOI: 10.11947/j.AGCS.2018.20170353

权威 | 专业 | 学术 | 前沿

微信投稿邮箱 | song_qi_fan@163.com

微信公众号中搜索「测绘学报」,关注我们 ,长按上图二维码,关注学术前沿动态。

进群请备注:姓名+单位+稿件编号

测绘通报 李鹏:典型海岸带城市扩张的多源遥感监测与预测——以青岛市为例

本文内容来源于《测绘通报》2022年第1期,审图号:GS(2022)103号

典型海岸带城市扩张的多源遥感监测与预测——以青岛市为例

李鹏 1,2 , 黎楚安 1,3 , 杨继梅 4 , 李振洪 1,5,6 , 王厚杰 1,2

1. 中国海洋大学海洋地球科学学院河口海岸带研究所海底科学与探测技术教育部重点实验室, 山东 青岛 266100;

2. 青岛海洋科学与技术国家实验室海洋地质过程与环境功能实验室, 山东 青岛 266061;

3. 中山大学地理科学与规划学院, 广东 广州 510275;

4. 青岛科技大学经济与管理学院, 山东 青岛 266061;

5. 长安大学地质工程与测绘学院, 陕西 西安 710054;

6. 纽卡斯尔大学工程学院, 英国 纽卡斯尔 NE1 7RU

基金项目 ::国家自然科学基金(41806108);国家重点研发计划(2017YFE0133500;2016YFA0600903)

关键词:城市扩张, 夜光遥感, 元胞自动机-马尔可夫模型, 土地利用变化, 海岸带

引文格式:李鹏, 黎楚安, 杨继梅, 等. 典型海岸带城市扩张的多源遥感监测与预测——以青岛市为例[J]. 测绘通报, 2022(1): 105-109.doi: 10.13474/j.cnki.11-2246.2022.0019.摘要

摘要 :本文利用自1995年以来的4期DMSP-OLS、NPP-VIIRS夜光遥感影像与Landsat多光谱遥感影像,分析了青岛市近25年的城市建成区范围、各市区边界形态与扩展趋势,并结合土地利用分类、路网、POI、DEM等多源驱动因子及元胞自动机-马尔可夫(CA-Markov)模型,模拟并预测了2027年青岛市土地利用分类。结果表明,近25年青岛建成区扩展主要以外延式为主,其他城区总体上沿胶州湾方向扩展,四周向青岛主城区汇集,主城区建设用地向西北侧发展。本文验证了夜光遥感在监测与预测典型海岸带城市扩张方面的适用性,为城市化发展进程管理与决策提供了重要依据。

作者简介 作者简介 :李鹏(1984-),男,博士,副教授,主要从事海岸带环境遥感与测绘研究工作。E-mail:pengli@ouc.edu.cn通信作者 :李振洪。E-mail:zhenhong.Li@chd.edu.cn 初审:杨瑞芳复审:宋启凡终审:金 君

往期推荐

资讯

○ 武大新增本科核心通识课程《遥感与生活》!感受遥感+N种可能

○ 让遥感图像不再像“天书” AI释放遥感大数据应用价值

○ 国际华人地理信息科学协会 CPGIS Awards 2022 荣誉奖开始提名

○ 5大省地震局2022年度公开招聘

○ 武汉大学遥感信息工程学院胡庆武教授课题组诚聘博士后

会议

○ “第二届新型基础测绘高峰论坛”会议日程来啦!○ 第二届“地理资源青年创新论坛”一号通知○ Geoinformatics 2022 暨CPGIS成立30周年年会(二号通知)○ 会议通知 | 第三届IEEE地质、测绘与遥感国际学术会议

《测绘学报》

○ 测绘学报 | 许彪:分区优化混合SfM方法

○ 测绘学报 | 高晓蓉:多尺度地图空间居民地语义相似度计算方法

○ 测绘学报 | 马天明:空间碎片激光测距微弱信号实时识别方法

○ 测绘学报 | 屈进红:航空重力测网交叉点的非遍历逼近方法

《测绘通报》

○《测绘通报》2021年第12期目录

○ 《测绘通报》2022年第1期目录

○ 地市级实景三维城市建设及应用

○ 图残差神经网络支持下的建筑物群组模式分类

《北京测绘》

○《北京测绘》2022年第1期摘要推荐

○《北京测绘》2021年第12期摘要推荐

○《北京测绘》2021年第11期摘要推荐

○《北京测绘》2021年第10期摘要推荐

《测绘科学技术学报》

○ 摘要 |《测绘科学技术学报》2021年第2期摘要推荐

○ 摘要 |《测绘科学技术学报》2021年第4期摘要推荐

○ 摘要 |《测绘科学技术学报》2021年第5期摘要推荐

○ 摘要 |《测绘科学技术学报》2021年第6期摘要推荐

《地球信息科学学报》

○ 《地球信息科学学报》2022年第2期佳文推介

○ 龚健雅院士:全球位置信息叠加协议与位置服务网技术研究进展与展望

○ 佳文推介 | 大数据城市通勤交通模型的构建与模拟应用

○ 专刊征稿:社会感知与地理大数据挖掘(征稿中)

《测绘工程》

○ 摘要 |《测绘工程》2021年第5期摘要推荐

○ 摘要 |《测绘工程》2021年第6期摘要推荐

○ 摘要 |《测绘工程》2022年第1期摘要推荐

○ 佳文推介 | 单目视觉技术在室内定位中的应用研究

《中国空间科学技术》

○ 火卫二地形地貌探测综述

○《中国空间科学技术》2022年第1期摘要

○《中国空间科学技术》2021年第6期摘要

○《中国空间科学技术》2021年第5期摘要推荐

《卫星应用》

○《卫星应用》2022年第01期摘要

○《卫星应用》2021年第12期摘要

○《卫星应用》2021年第11期摘要

○《卫星应用》2021年第10期摘要

《Journal of Geodesy and Geoinformation Science》

○《测绘学报(英文版)》专刊征稿 | 地图学与地球空间信息教育:理论与实践

○ 《测绘学报(英文版)》专刊征稿 | 用于三维地理信息的摄影测量和计算机视觉

○ Xiang LI et al. | 《测绘学报(英文版)》(JGGS)精选论文

○ Jingguo LYU et al. | 《测绘学报(英文版)》(JGGS)精选论文

《Satellite Navigation》

○ 徐元博士:面向有色测量噪声下UWB/INS组合行人导航的分布式卡尔曼滤波| SANA佳文速递

○ 杨飞博士:GNSS天顶对流层精化模型的构建与分析| SANA佳文速递

○ 姚铮教授:北斗PPP服务信号调制复用方案设计与质量评估| SANA佳文速递

○ 2022征文| SatNav“普适定位、室内导航与基于位置服务”专题

《自然资源遥感》

○ 《自然资源遥感》入驻“智绘科服”融媒体平台!

○ 《自然资源遥感》征稿:“海岸带空间资源及生态健康遥感监测”专栏

○ 摘要 |《自然资源遥感》2021年第3期摘要推荐

○ 摘要 |《自然资源遥感》2021年第4期摘要推荐

Journal of Geovisualization and Spatial Analysis

○《Journal of Geovisualization and Spatial Analysis》入驻“智绘科服”融媒体平台!

○ JGSA国际期刊2021年第5卷第2期论文摘要

○ 高被引论文推荐 | Journal of Geovisualization and Spatial Analysis

全球定位系统

○ 《全球定位系统》论文推荐 | 刘光明:我国常用地心坐标系的现状与发展

相关问答

ndbi是什么的缩写?

NDBI是NormalizedDifferenceBuilt-upIndex的缩写,即归一化建筑物指数。它是一种用于遥感图像分析的指数,用于评估地表覆盖中建筑物的分布和密度。NDBI通过...

青海湖为什么在持续扩大?

位于青海省的青海湖是我国面积最大的湖泊,2000年时,该湖面积约4256平方公里(km²),2017年8月时,我国的遥感卫星测得青海湖面积为4435.69平方公里,增加了约...青...

好大学都是理工科,真的是这样吗?另外,文科生以后真的不好就业吗?

北大“中国第一学府”的名声还是叫得比较响的,虽然与清华大学的争论从来没有停止过,但在历史积淀与文化传统上,北大应该是胜出的。同时还体现在北大学科设置的...

中国人的环境道德现状与对策是什么

中国人的环境道德现状与对策摘要:面对严峻的环境现状,了解国人的环境道德,思考解决之道。关键词:环境环境道德中国对策正文:要了解中国人的环境...

【汶川地震是怎样形成的?】作业帮

[回答]由于地球在不断运动和变化,逐渐积累了巨大的能量,在地壳某些脆弱地带,造成岩层突然发生破裂,或者引发原有断层的错动,这就是地震.分自然原因和人为...

简述人类不同文明阶段对自然的态度环境问题与人类对策

必须在全社会树立水资源与水环境的忧患意识,走可持续发展之路,使经济发展水平与资源条件、环境状况相适应。经济建设要充分考虑水土资源条件和生态...

人类离太空开采资源还有多远?

对于小行星的研究,需要着重考虑小行星的弱引力,探测器需要加速到较高的速度与小行星伴行,如果要大规模太空采矿,还要尽可能地将小行星拉到地球的附近,这对于...

大学有哪些专业很冷门,但毕业待遇不错的呢?

随着技术的不断发展与社会环境需求的不断增大,我国摄影测量与遥感技术的发展速度较快,已经逐渐成熟化,成为测绘行业与地理信息行业的重要技术手段。虽然该专业...

历史地图怎么记?

有人说,这个世界上有两种人:会看地图的人和看镜子的人。看地图的人准备远行,看镜子的人准备回家。你是哪个呢?一直都认为地图是人类历史上最最神奇的发明,...不...

【Whatismarinegeology?AskTheAnswerInEnglish,Please~】作业帮

[回答]什么是海洋地质学?海洋地质是研究被海水覆盖的那部分地壳,包括海床、洋底及海岸的地貌、海底表层沉积物、岩石地质构造、地质历史以及各种海洋地质...

标签:

相关阅读