电力电子应用可控整流 可控整流电路知识介绍

小编头像

小编

管理员

发布于:2025年05月04日

103 阅读 · 0 评论

可控整流电路知识介绍

变频器中的整流电路主要有不可控整流电路和可控整流电路两种。

可控整流电路是在整流电路中釆用可控整流器件或电路,如晶闸管、IGBT等,其中晶闸管可控直流电流为主流电路。可控整流电路其整流输出电压大小可以通过改变整流或 开关器件的导通、关断时间来调节。

全部由晶闸管构成的控制电流,称为全控整流电路,由晶闸管与晶体二极管混合构成 的控制电路,则称为半可控整流电路。

一、单相全控半波整流电路。

下图所示为单相全控半波整流电路。

晶闸管输出的电流(能量)受触发脉冲的控制,在正半周触发脉冲出现的时间(相位)决定VS导通的时间,图中触发脉冲出现在t1时刻,VS则在t1〜t2内导通,0〜t1时间内VS不导通。的时间越长,VS输出的能量越多,因而可实现可控整流。

单向晶闸管(SCR)是指其触发后只允许一个方向的电流流过的半导体器件,相当于一个可控的整流二极管。它是由P-N-P-N共4层3个PN结组成的。下图所示为单向晶闸管的实物外形及导通和截止特性。

二、单相半控桥式整流电路。

下图所示为单相半控桥式整流电路。在桥式整流电路的4个二极管中,有两个整流二极管用晶闸管取代。

单相半控桥式整流电路的工作过程:

在0〜t1期间,U2电压为正半周其极性是上正下负时,即a点为正、b点为负,由于无触发信号到晶闸管VS1的G极,VS1不导通,VD4也不导通。

在t1~t2期间,U2电压的极性仍是上正下负,t1时刻有一个触发脉冲送到晶闸管VS1和VS2的G极,VS1导通,VS2虽有触发信号,但因为阳极端为负电压,因此VS2不能导通。VS1导通后,VD4也会导通,有电流流过负载Rl,电流途径是:a点-VS-Rl-VD4-b 点。

在t2时刻,U2电压为0v,晶闸管VS1由导通转为截止。

在t2~t3期间,区电压变为负半周,其极性变为上负下正,由于无触发信号到晶闸管 VS2的G极,VS2、VD3均不能导通。

在t3时刻,S电压的极性仍为上负下正,此时第2个触发脉冲送到晶闸管VS1、VS2的G极,VS2导通,VS1因处于反向偏置状态而无法导通。VS2导通后,VD3也导通,有电流流过负载Rl,电流途径是:b点-VS2-RL-VD3-a点。

在t3〜t4期间,VS2、VD3始终处于导通状态。

在t4时刻,U2电压为0,晶闸管VS2由导通转为截止。以后电路会重复0〜t4期间的工作过程,结果会在负载Rl上得到图(b)所示的直流电压Ul。

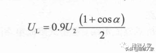
单相半控桥式整流电路的计算方法。

改变触发脉冲的相位,电路整流输出的脉冲直流电压Ul大小也会发生变化,其值如下

三、三相全控桥式整流电路。

下图所示为三相全控桥式整流电路的结构和输岀波形。

该整流电路的结构与功能与三相桥式整流电路形似,只是将6只整流二极管换为6只晶闸管, 晶闸管的导通需要触发信号,因而可控。

图(a) 所示的三相全控桥式整流电路每相中的晶闸管在导通周期受到触发信号 的作用才能导通,因而每个导通周期的导通时间是可控的,这样就可以控制整流电路输出的总能量(电流)。

三相全控桥式整流电路工作原理如上图 (c)所示,将三相整流电路分解为三个单相的整流电路,整个三相可控整流电路的输出为三个单相输出电流合成的效果,釆用这种可控整流方式,可以控制整流输出的电压(或能量)。

不可控整流电路知识介绍

变频器中的整流电路主要有不可控整流电路和可控整流电路两种。

不可控整流电路是以整流二极管或桥式整流堆作为整流器件,将交流电压变成单向脉动直流电压。常见的整流电路有半波整流、全波整流和桥式整流等。

一、单相半波整流电路。

下图为单相半波整流电路的电路结构示意图及波形图。

在电源变压器次级输出的交流电压u2为正半周期内,整流二极管正向偏置导通。电流经过整流二极管流向负载,在Rl上得到一个极性为上正下负的电压。

在U2为负半周期时,整流二极管反向偏置,电流基本上等于零。所以在负载电阻器Rl两端得到的电压也为0。相应过程及结果可由上图(c)所示波形具体表现出来。

单相半波整流电路的计算方法:

由于整流二极管的单向导电作用,使变压器次级交流电压变换成负载两端的单向脉动电压,从而实现了整流。由于这种电路只在交流电压的半个周期内才有电流流过负载,故称半波整流。

在半波整流电路中,负载上得到的脉动电压是含有直流成分的。这个直流电压S等于半波电压在一个周期内的平均值,它等于变压器次级电压有效值u2的45%,即Uo=0.45U2。

二、单相全波整流电路。

全波整流电路是在半波整流电路的基础上加以改进而得到的。它是利用具有中心抽头的变压器与两个整流二极管配合,使VD1和VD2在交流电的正半周和负半周内轮流导通, 而且二者流过Rl的电流保持同一方向,从而使正、负半周在负载上均有输出电压。

从上图所示波形可见,负载上得到的电流、电压的脉动频率为电源频率的两倍,其直流成分也是半波整流时直流成分的两倍U0=0.9U2

但是,在全波整流电路中,加在整流二极管上的反向峰值电压却增加了一倍。这是因为在正半周时VD1导通,VD2截止,此时变压器次级两个绕组的电压全部加到二极管VD2 的两端。这就是说,全波整流电路对整流二极管的要求提高了。

三、单相桥式整流电路。

下图所示为单相桥式整流电路工作原理图。

单相桥式整流电路整流过程中,四个整流二极管两两轮流导通,正负半周内都有电流流过Rl.例如,当地为正半周时,整流二极管VD1和VD3因加正向电压而导通,VD2和VD4因加反向电压而截止。电流V从变压器正端出发流经整流二极管VD1、负载电阻器Rl、整流二极管VD3,最后流入变压器负端,并在负载Rl上产生电压降u0。

反之,当u2为负半周时,整流二极管VD2、VD4因加正向电压导通,而整流二极管VD1和VD3因加反向电压而截止,电流流经VD2、Rl、VD4, 并同样在Rl上产生电压降u0.由于i1和i2流过Rl的电流方向是一致的,所以Rl上的电压u0为两者的和,因而其输出直流电压同样为U0=0.9 U2,而整流二极管反向峰值电压是全波整流电路的一半。

四、三相桥式整流电路。

下图所示为三相桥式整流电路的结构示意图。

三相桥式整流电路的工作过程可以分解成三个单相整流电路的整流过程,分别如下图(a)、(b)、(c)所示。每一相整流和输出与单相桥式整流电路的工作状态相 同,三个单相整流合成为三相整流效果,如图(d)所示。

相关问答

【求 电力电子技术 强人帮忙回答一下啊!1.单相全控桥,带反电动...

[最佳回答]答案发给你了

判断题1、单相半波 可控整流 电路中,当负载为电阻负载时,变压...

[最佳回答]1√2×3√4√5√

晶闸管 可控整流 电路的 应用 ?

1,触发脉冲有足够的功率和宽度2,触发脉冲的型式要有助于晶闸管导通时间的一致性3,触发脉冲要有足够的移相范围并且要与主回路电源同步.晶闸管(Thyristor)是晶...

为什么 可控整流 电路称为相控电路简答题?

可控整流电路之所以被称为相控电路,是因为它利用可控器件(如晶闸管或场效应晶体管)来控制电流的导通和截止状态,实现对输入交流电的整流和调节。这些可控器...

三相桥式全控 整流 电路有何特点,其触发脉冲有何要求?

三相桥式全控整流电路,六个桥臂元件全都采用可控硅管。它既可工作于整流状态,将交流变成直流;也可工作于逆变状态,将直流变成交流。其触发脉冲的宽度均大于60...

如何用可控硅实现 可控整流 ?如何用可控硅实现?

可控硅是一种可控的半导体器件,可以用来实现可控整流。可控整流是一种将交流电源转化为直流电的设备,它利用可控硅的导通和断开来实现。具体来说,可控整流器...

单项 可控整流 电路有?

四个二级管儿顺时针单通向相接,然后把第一个和第三个再通过一根导线连上即可形成整流电路。四个二级管儿顺时针单通向相接,然后把第一个和第三个再通过一根导...

pwm 整流 电路控制方式分类?

可分为零式电路和桥式电路1)零式电路指带零点或中性点的电路,又称半波电路。它的特点所有整流元件的阴极(或阳极)都接到一个公共接点﹐向直流负载供电﹐负载...

单相桥式可调 整流 电路?

可以单相桥式可控整流电路一般分为两种,一种是全控电路,一种是半控电路。全控和半控的区别就在于两个桥壁上的电力电子器件是全部可控的还是只有一个可控。但...

晶闸管 可控整流 电路对触发电路有哪些要求?

1,触发脉冲有足够的功率和宽度2,触发脉冲的型式要有助于晶闸管导通时间的一致性3,触发脉冲要有足够的移相范围并且要与主回路电源同步.晶闸管(Thyristor)是晶...

标签:

相关阅读